Zadnji put ažurirano :
18/03/2026
kardiotonici   Digoxin  
injekcija
Stabilizacija rješenja Stabilnost mješavine Stabilizacijski faktor Kompatibilnosti način davanja lijeka Bibliografija pdf
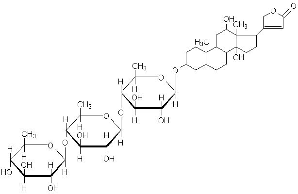
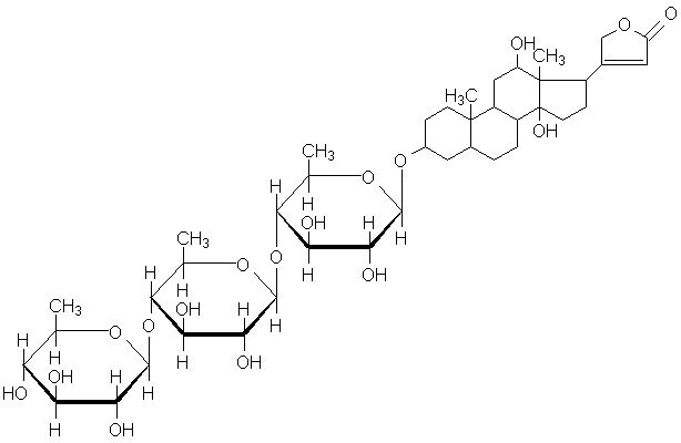
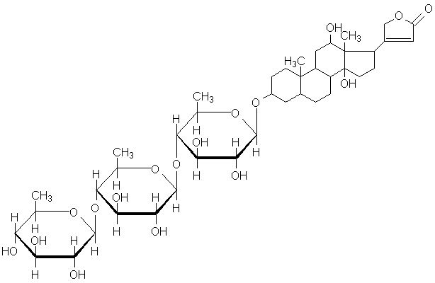
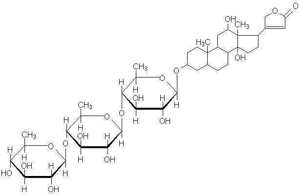
   Kemijska struktura  

Nekomercijalni   Nekomercijalni     

Zaštićeni nazivi su indikativni i sastav ekscipijensa može biti različit ovisno o državi i laboratorijima

Cardixin Egipat
Celoxin Indija
Digibind novi Zeland, S A D
Digocard Argentina, Ekvador
Digosin Japan
Digoxin Argentina, Danska, Ekvador, Finska, Iran, Kanada, Madžarska, Poljska, S A D, Švedska, Velika Britanija
Digoxina Argentina, Ekvador, Meksiko, Španjolska, Venecuela
Digoxine Francuska, Grčka, Švicarska
Geoxin Indija
Lanibos Saudijska Arabija
Lanicor Njemačka
Lanoxin Belgija, Čile, Egipat, Iran, Irska, Italija, Luksemburg, Malezija, Nizozemska, Norveška, novi Zeland, Portugal, S A D, Saudijska Arabija, Ujedinjeni Arapski Emirati, Velika Britanija
Loxinan Meksiko

Stabilizacijski faktor   injekcija   Stabilizacijski faktor : Digoxin        

  Mentions Légales