最新更新 :
05/12/2025
免疫抑制剂   Ciclosporin  
注射液
口服剂 眼药水 药膏
溶液稳定性 混合物稳定性 影响稳定性的因素 兼容性 用药途径 引用文献 PDF
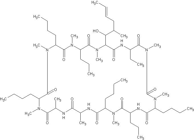
   化学式  

商品名   商品名     

商品名仅供参考, 药品所用的辅料可能依国家或厂商不同有所不同。

Cyclosporine 加拿大, 美国
Graftin 印度
Sandimmum 丹麦, 伊朗, 冰岛, 匈牙利, 卢森堡, 哥伦比亚, 土耳其, 墨西哥, 奥地利, 希腊, 德国, 意大利, 挪威, 摩洛哥, 新西蘭, 智利, 比利时, 沙特阿拉伯, 波兰, 澳大利亚, 爱尔兰, 瑞典, 瑞士, 秘鲁, 突尼斯, 芬兰, 英国, 葡萄牙, 西班牙, 阿根廷, 阿联酋, 马来西亚
引用文献   注射液   引用文献 : Ciclosporin  
种类 出版物
93 文献 Hutchings SR, Rusho WJ, Tyler LS.
Compatibility of cefmetazole sodium with commonly used drugs during Y-site delivery.
Am J Health-Syst Pharm 1996 ; 53: 2185-2188.
140 文献 Pearson SD, Trissel LA.
Leaching of diethylhexyl phthalate from polyvinyl chloride containers by selected drugs and formulation components.
Am J Hosp Pharm 1993 ; 50: 1405-1409.
289 文献 Jim LK.
Physical and chemical compatibility of intravenous ciprofloxacin with other drugs.
Ann Pharmacotherapy 1993 ; 27: 704-707.
291 文献 Nieforth KA, Shea BF, Souney PF, Scavone JM.
Stability of cyclosporine with magnesium sulfate in 5% dextrose injection.
Am J Hosp Pharm 1993 ; 50: 470-472.
300 文献 Trissel LA, Gilbert DL, Martinez JF.
Compatibility of propofol injectable emulsion with selected drugs during simulated Y-site administration.
Am J Health-Syst Pharm 1997 ; 54: 1287-1292.
301 文献 Trissel LA, Gilbert DL, Martinez JF, Baker MB, Walter WV, Mirtallo JM.
Compatibility of parenteral nutrient solutions with selected drugs during simulated Y-site administration.
Am J Health-Syst Pharm 1997 ; 54: 1295-1300.
454 文献 Ptachcinski RJ, Logue LW, Burckart GJ, Venkataramanan R.
Stability and availability of cyclosporine in 5% dextrose injection or 0.9% sodium chloride injection.
Am J Hosp Pharm 1986 ; 43: 94-97.
455 文献 Venkataramanan R, Burckart GJ, Ptachcinski RJ, Blaha R, Logue LW, Bahnson A, Giam CS, Brady JE.
Leaching of diethylhexyl phtalate from polyvinyl chloride bags into intravenous cyclosporine solution.
Am J Hosp Pharm 1986 ; 43: 2800-2802.
471 文献 Shea BF, Ptachcinski RJ, O'Neill S, Cersosimo RJ, Sesin GP, Souney PF.
Stability of cyclosporine in 5% dextrose injection.
Am J Hosp Pharm 1989 ; 46: 2053-2055.
891 文献 Matsuura G.
Visual compatibility of sargramostim (GM-CSF) during simulated Y-site administration with selected agents.
Hosp Pharm 1992 ; 27: 200, 202, 209.
921 文献 Trissel LA, Gilbert DL, Martinez JF.
Incompatibility and compatibility of amphotericin B cholesteryl sulfate complex with selected other drugs during simulated Y-site administration.
Hosp Pharm 1998 ; 33: 284-292.
1302 文献 Parr MD, Barton SD, Haver VM, Porter WH.
Cyclosporine binding to components in medication administration sets.
Drug Intell Clin Pharm 1988 ; 22: 173-174.
1415 文献 Trissel L.A, Gilbert D.L, Martinez J.F, Baker M.B, Walter W.V, Mirtallo J.M.
Compatibility of medications with 3-in-1 parenteral nutrition admixtures.
JPEN 1999 ; 23: 67-74.
1508 文献 Voirol P, Berger-Gryllaki M, Pannatier A, Eggimann P, Sadeghipour F.
Visual compatibility of insulin aspart with intravenous drugs frequently used in ICU.
EJHP 2015 ;22:123-124.
1625 文献 Trissel LA, Saenz C, Williams YW, Ingram D.
Incompatibilities of lansoprazole injection with other drugs during simulated Y-site coadministration.
Int J Pharm Compound 2001 ; 5: 314-321.
1925 文献 Trissel LA , Williams KY, Gilbert DL.
Compatibility screening of linezolid injection during simulated Y-site administration with other drugs and infusion solutions.
J Am Pharm Assoc 2000 ; 40: 515-519.
1982 文献 Trissel LA, Ogundele AB.
Compatibility of anidulafungin with other drugs during simulated Y-site administration.
Am J Health-Syst Pharm 2005 ; 62: 834-837.
2007 文献 Gotardo MA, Monteiro M.
Migration of diethylhexyl phtalate from PVC into intravenous cyclosporine solutions.
J Pharm Biomed Anal 2005 ; 38: 709-713.
2087 文献 Ferreira E, Forest JM, Hildgen P.
Compatibility of dimenhydrinate injectable by Y administration.
Pharmactuel 2004 ; 37: 17-20.
2090 文献 Pere H, Chasse V, Forest JM, Hildgen P.
Compatibility of injectable pantoprazole in Y-site administration.
Pharmactuel 2004 ; 37: 193-196.
2108 文献 Trusley C, Kupiec TC, Trissel LA.
Compatibility of micafungin injection with other drugs during simulated Y-site co-administration.
Int J Pharm Compound 2006 ; 10: 230-232.
2109 文献 Pelletier E, Forest JM, Hildgen P.
Compatibilité de la kétamine injectable lors de l’administration en dérivé avec d’autres médicaments usuels.
Pharmactuel 2006 ; 39: 71-75.
2192 文献 Cochran BG, Sowinski KM, Fausel C, Overholser BR.
Physical compatibility and chemical stability of mycophenolate mofetil during simulated Y-site administration with commonly coadministered drugs.
Am J Health-Syst Pharm 2007 ; 64, 13: 1410-1414.
2247 文献 Chan P, Heatherly K, Kupiec T.C, Trissel L.A.
Compatibility of caspofungin acetate injection with other drugs during simulated Y-site coadministration.
Int J Pharm Compound 2008 ; 12, 3: 276-278.
2262 文献 Brammer MK, Chan P, Heatherly K, Trusley C, Kupiec TC, Trissel LA, Psathas PA, Gilmor T, Schaufelberger D.
Compatibility of doripenem with other drugs during simulated Y-site administratioN
Am J Health-Syst Pharm 2008 ; 65: 1261-1265.
2269 文献 Chan P, Bishop A, Kupiec TC, Trissel LA, Gole D, Jimidar IM, Vermeersch H.
Compatibility of ceftobiprole medocaril with selected drugs during simulated Y-site administration.
Am J Health-Syst Pharm 2008 ; 65, 16: 1545-1551.
2335 文献 Canann D, Tyler L.S, Barker B, Condie C.
Visual compatibility of i.v. medications routinely used in bone marrow transplant recipients
Am J Health-Syst Pharm 2009 ; 66, 8: 727-729
2730 文献 Coutsouvelis J, Yao-Da Dong, Witney K, Li W, Corallo C.
Evaluation of the physicochemical compatibility of cyclosporin infusion and parenteral nutrition when intravenously administered via the same central line lumen.
J Pharm Pract and Res 2015 ; 45: 152-158.
3012 文献 Sullivan T, Forrest J.M, Leclair G.
Compatibility of Cloxacillin Sodium with Selected Intravenous Drugs During Simulated Y-Site Administration
Hosp Pharm 2015 ; 50, 3: 214-220.
3216 文献 Legris ME, Valiquette ME, Lavoie A, Forest JM, Leclair G.
Compatibilité physique par évaluation visuelle du salbutamol injectable lors de son administration en Y.
Pharmactuel 2011 ; 44, 1 : 14-18
3229 文献 Li M, Forest JM, Coursol C, Leclair G.
Stability of cyclosporine solutions stored in polypropylene–polyolefin bags and polypropylene syringes.
Am J Health-Syst Pharm 2011 ;68:1646-1650.
3249 文献 Singh BM, Dedhiya MG, Dinunzio J, Chan P, Kupiec TC, Trissel LA, Laudano JB.
Compatibility of ceftaroline fosamil for injection with selected drugs during simulated Y-site administration.
Am J Health-Syst Pharm 2011 ; 68: 2163-2169.
3254 文献 Housman S.T, Tessier P.R, Nicolau D.P, Kuti J.L.
Physical compatibility of telavancin hydrochloride with select i.v. drugs during simulated Y-site administration
Am J Health-Syst Pharm 2011 ; 68: 2265-2270.
3408 文献 Tollec S, Touzin K, Pelletier E, Forest J.M.
Evaluation visuelle de la compatibilité physique de la naloxone avec d’autres médicaments intraveineux usuels.
Pharmactuel 2013 ; 46, 1 : 16-21.
3476 文献 Li M, Coursol C, Leclair G.
Stability of cyclosporine diluted with 0.9% sodium chloride injection or 5% dextrose injection and stored in ethylene-vinyl acetate containers.
Am J Health-Syst Pharm 2013 ;70:1970-1972.
3728 文献 Correard F, Savry A, Gauthier-Villano L, Pisano P, Pourroy B.
Visual compatibility of defibrotide with selected drugs during simulated Y-site administration.
Am J Health-Syst Pharm 2014 ; 71: 1288-1291.
3766 文献 Forrest J.M, Hildgen P.
Compatibilité de l’acétylcystéine injectable lors de son administration en Y avec d’autres médicaments usuels
Pharmactuel 2014 ; 47, 3 : 161-165.
3767 文献 Legris M.E, Lavoie A, Forrest J.M, Hildgen P.
Compatibilité par évaluation visuelle du thiopental injectable lors de son administration en Y avec des médicaments usuels.
Pharmactuel 2014 ; 47, 3 : 167-172.
3824 文献 Boudi S, Roy H, Forest JM, Leclair G.
Compatibilité physique de l'association amoxicilline-acide clavulanique en injection avec plusieurs autres médicaments lors d'une administration en Y.
Pharmactuel 2023 2023;56,3:91-98
3827 海报 Ghazi I.M, Hamada Y, Nicolau D.P.
Compatibility of tedizolid phosphate with selected intravenous drugs via simulated Y-site conditions.
ASHP Midyear 2015
3828 海报 Thabit A.K, Hamada Y, Nicolau D.P.
Ceftozolane/tazobactam physical compatibility during simulated Y-site administration.
ASHP Midyear 2015
3829 海报 So W, Kim L, Thabit A.K, Nicolau D.P, Kuti J.L.
Compatibility of isavunazonium sulfate during simulated Y-site administration.
ASHP Midyear 2015
3948 文献 Bouchoud L, Fonzo-Christe C, Klingm?ller M, Bonnabry P .
Compatibility of Intravenous Medications With Parenteral Nutrition - In Vitro Evaluation.
JPEN 2012 ;30. 416?424.
3985 海报 Manai M., Soussi M.A., Lazreg O., Drira C., Ben Tekaya S. et Razgallah Khrouf M.
Compatibilité physique entre médicaments injectables et nutrition parentérale pédiatrique : Evaluation in-vitro.
Hopipharm Congress 2017 - Nancy 2017
4319 文献 Lessard J-J, Caron E, Schérer H, Forest J-M, Leclair G.
Compatibility of Y-site Injection of Meropenem Trihydrate With 101 Other Injectable Drugs.
Hosp Pharm 2020 ; 55, 5: 332-337.
4389 文献 Côté K, Correal F, Metras M.E, Friciu M, Forest J.M, Leclair G.
Compatibilité physique des médicaments administrés en Y aux soins intensifs, en particulier la dexmédétomidine, le lévosimendan et la kétamine.
Pharmactuel 2019 ;52,4:206-213
4603 文献 Vallée M, Barthélémy I, Friciu M, Pelletier E, Forest J.M, Benoit F, Leclair G.
Compatibility of Lactated Ringer’s Injection With 94 Selected Intravenous Drugs During Simulated Y-site Administration.
Hosp Pharm 2021 ; 56, 4: 228-234.
4698 文献 Ayari G, D'Huart E, Vigneron J, Demoré B.
Y-site compatibility of intravenous medications commonly used in intensive care units : laboratory tests on 75 mixtures involving nine main drugs.
Pharmaceutical Technology in Hospital Pharmacy 2022 ; 7(1): 20220002

  Mentions Légales