Ostatnia aktualizacja :
18/03/2026
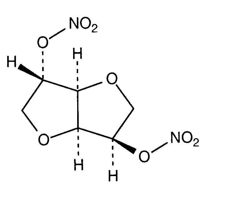
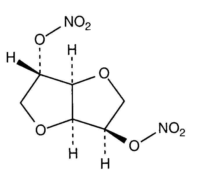
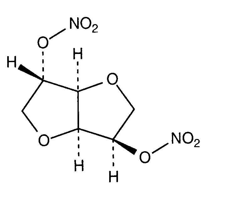
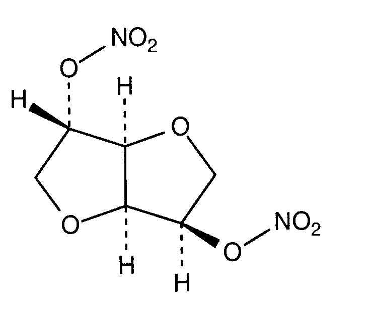
Lek rozszerzający naczynia   Isosorbide dinitrate  
Injekcje
Trwałość roztworów Trwałość w mieszaninie Czynnik wpływający na trwałość Zgodność Sposób podania Bibliografia pdf
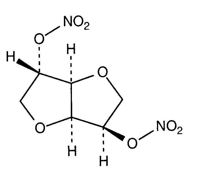
   Struktura chemiczna  

Nazwa handlowa   Nazwa handlowa     

Trade names are indicative and excipients composition can be different depending on the country and manufacturers

Angsobide Malezja
Cedocard Holandia
Diniket Włochy
Dinit Wielka Brytania
Ekilbran Meksyk
Isoket Arabia Saudyjska, Austria, Egipt, Irlandia, Luksemburg, Malezja, Meksyk, Peru, Polska, Portugalia, Szwajcaria, Wenezuela, Wielka Brytania, Zjednoczone Emiraty Arabskie
Isonit Ekwador, Peru
Nitrosid Finlandia
Nitrosorbide Włochy
Risordan Francja
Zanisor Meksyk

Czynnik wpływający na trwałość   Injekcje   Czynnik wpływający na trwałość : Isosorbide dinitrate        

  Mentions Légales