Viimeisin päivitys :
18/03/2026
Vasodilataattorit   Isosorbide dinitrate  
Injektioneste
Stabilius liuoksessa Stabilius seoksissa Tekijät, jotka vaikuttavat stabiliuteen Yhteensopivuus Antotapa Viitteet pdf
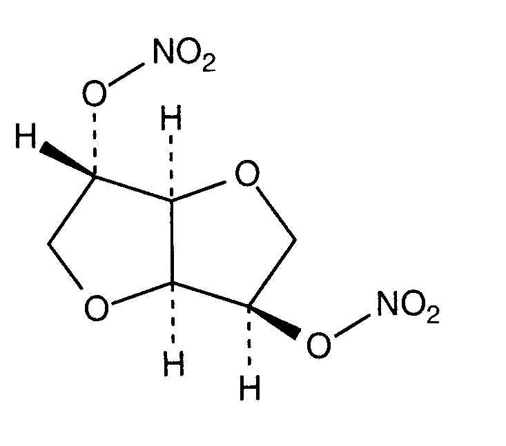
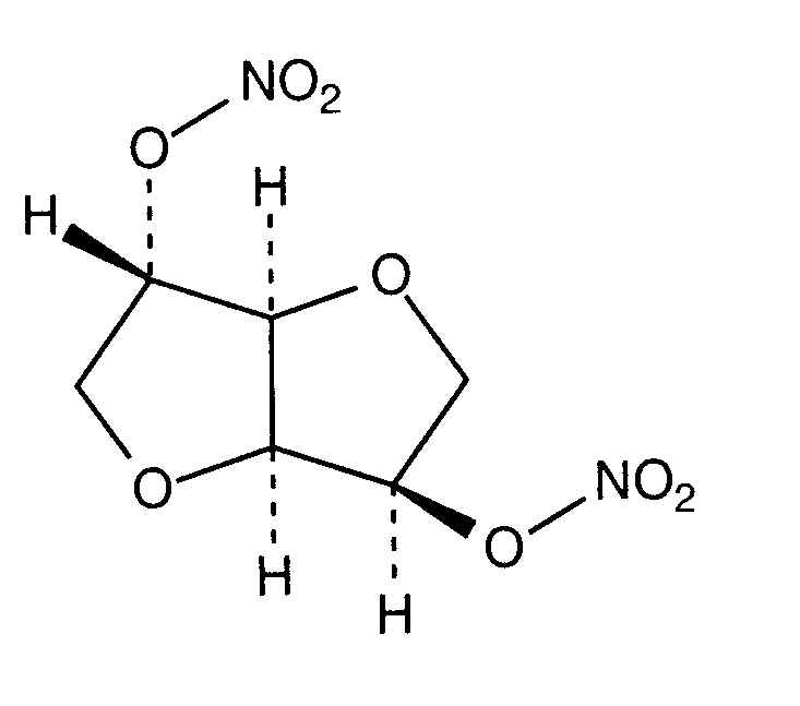
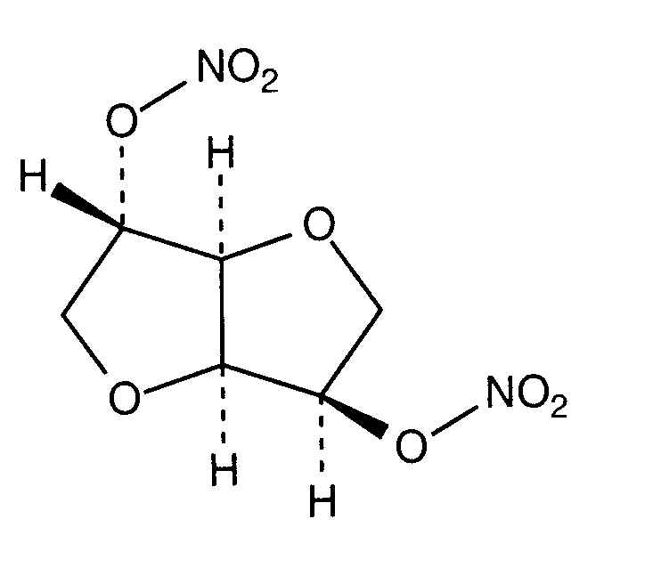
   Kemiallinen rakenne  

Kauppanimi   Kauppanimi     

Trade names are indicative and excipients composition can be different depending on the country and manufacturers

Angsobide Malesia
Cedocard Hollanti
Diniket Italia
Dinit Iso-Britannia
Ekilbran Meksiko
Isoket Egypti, Irlanti, Iso-Britannia, Itävalta, Luxemburg, Malesia, Marokko, Meksiko, Portugali, Puola, Saudi-Arabia, Sveitsi, Venezuela, Yhdistyneet arabiemiirikunnat
Isonit Ecuador, Marokko
Nitrosid Suomi
Nitrosorbide Italia
Risordan Ranska
Zanisor Meksiko

Tekijät, jotka vaikuttavat stabiliuteen   Injektioneste   Tekijät, jotka vaikuttavat stabiliuteen : Isosorbide dinitrate        

  Mentions Légales