Останнє оновлення :
27/11/2025
Infostab
Список препаратів
Зведені списки
Пошук сумісності
Таблиця сумісності Y-site
Список літератури
Дослідницькі групи
valistab
Плакати
Посилання
Спонсори
Автори
Посібник користувача
Newsletter
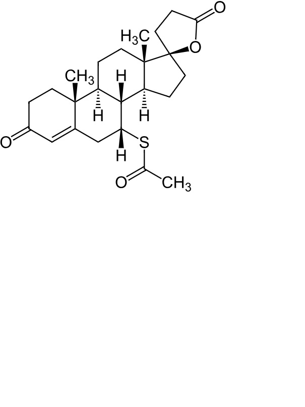
Spironolactone
Хімічна структура
Список літератури : Spironolactone
Тип
Публікація
4921
журнал
Schettino C, Marianni B, Polonini H.
Compatibility of 17-a-estradiol, Caffeine, Clobetasol Propionate, Finasteride, Melatonin, Metronidazole, Spironolactone, Tretinoin, and Triamcinolone in Trichosol, a Natural Vehicle for Hair Solutions.
Int J Pharm Compound 2025 ;29,1:64-76
Mentions Légales