Utolsó frissítés :
27/11/2025
Infostab
Listák
Összesítő lista
Kompatibilitások keresése
Y-site kompatibilitási táblázat
Irodalom
kutatócsoportok
valistab
poszter
Kapcsolatok
támogatók
Szerző
Felhasználói útmutató
Hírlevél
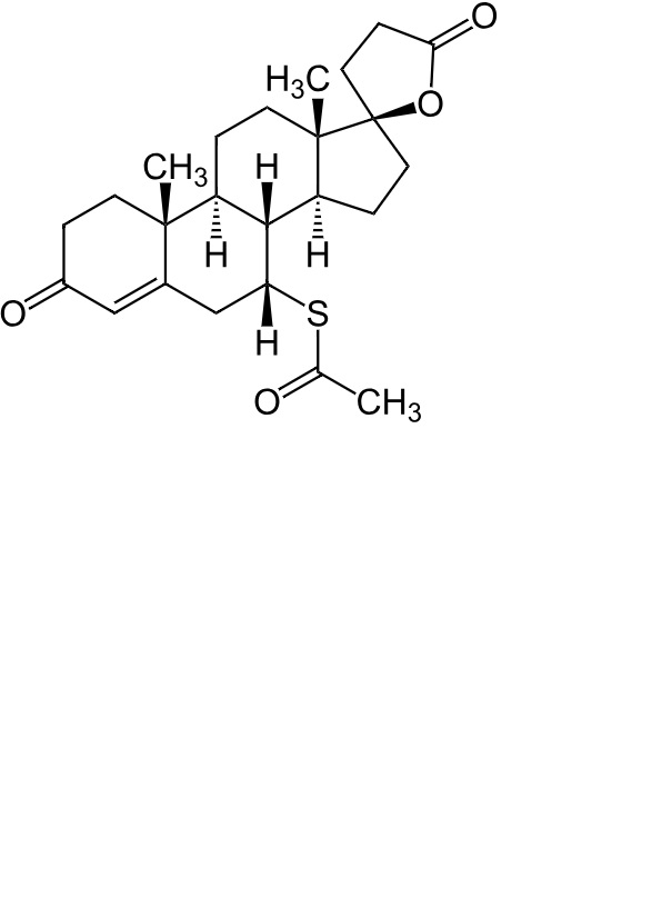
Spironolactone
Kémiai szerkezet
Irodalom : Spironolactone
Type
publikáció
4921
Napló
Schettino C, Marianni B, Polonini H.
Compatibility of 17-a-estradiol, Caffeine, Clobetasol Propionate, Finasteride, Melatonin, Metronidazole, Spironolactone, Tretinoin, and Triamcinolone in Trichosol, a Natural Vehicle for Hair Solutions.
Int J Pharm Compound 2025 ;29,1:64-76
Mentions Légales