Laatste update :
27/11/2025
Infostab
Stoffenlijst
Zoeken via pictogrammen
zoeken naar verenigbaarheden
Y-site verenigbaarheden tabel
Literatuur
onderzoeksgroepen
valistab
Poster
Verbindingen
sponsors
Auteur
Gebruiksaanwijzing
Nieuwsbrief
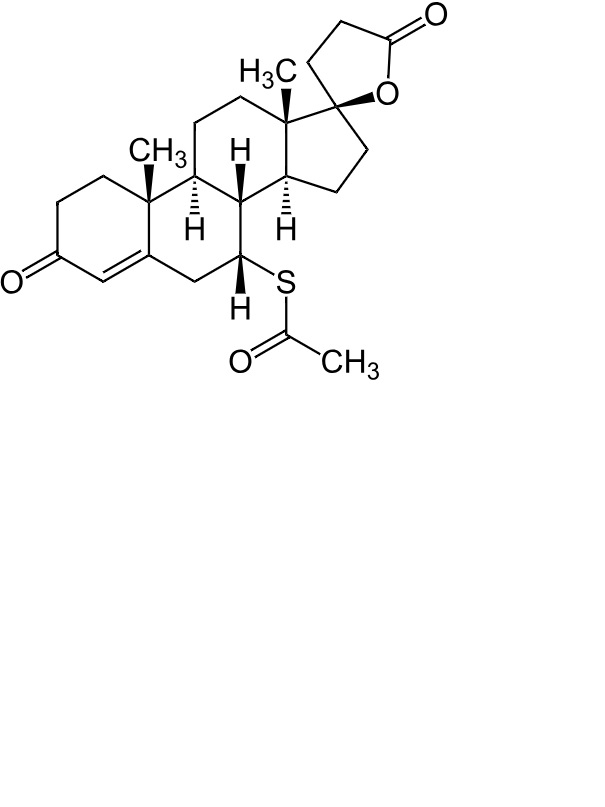
Spironolactone
Molecuulstructuur
Literatuur : Spironolactone
type
publicatie
4921
Artikel
Schettino C, Marianni B, Polonini H.
Compatibility of 17-a-estradiol, Caffeine, Clobetasol Propionate, Finasteride, Melatonin, Metronidazole, Spironolactone, Tretinoin, and Triamcinolone in Trichosol, a Natural Vehicle for Hair Solutions.
Int J Pharm Compound 2025 ;29,1:64-76
Mentions Légales