Last update :
27/11/2025
Infostab
List of drugs
Summary lists
Search for compatibilities
Y-site compatibility table
References
Research teams
valistab
Poster
Links
Sponsors
Authors
User’s guide
Newsletter
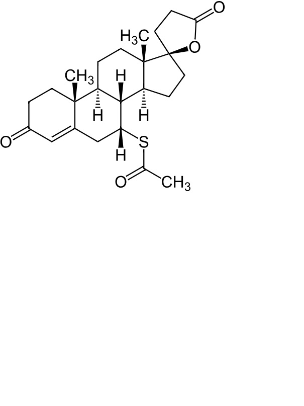
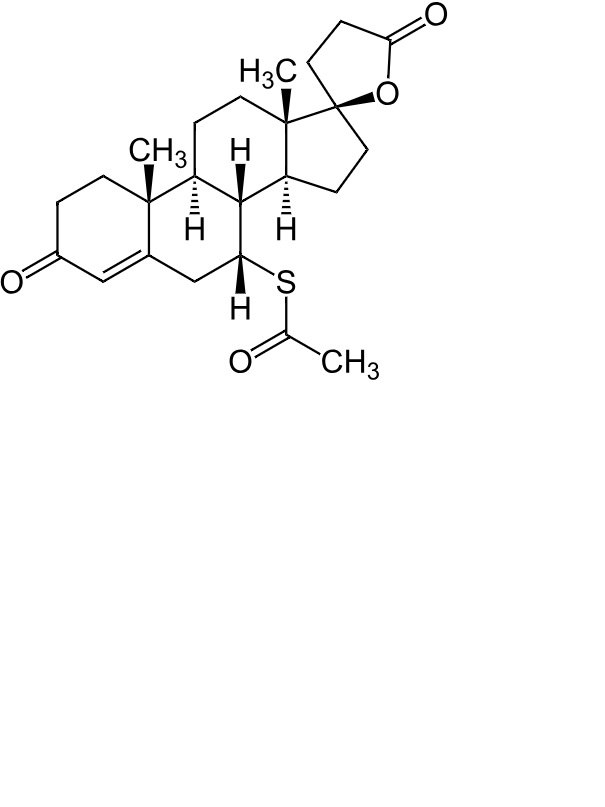
Spironolactone
Chemical structure
References : Spironolactone
Type
Publication
4921
Journal
Schettino C, Marianni B, Polonini H.
Compatibility of 17-a-estradiol, Caffeine, Clobetasol Propionate, Finasteride, Melatonin, Metronidazole, Spironolactone, Tretinoin, and Triamcinolone in Trichosol, a Natural Vehicle for Hair Solutions.
Int J Pharm Compound 2025 ;29,1:64-76
Mentions Légales