Última actualização :
27/11/2025
Infostab
Lista de compostos
Listas de leitura dos resumos de informação
Pesquise compatibilidades
Tabela de compatibilidade do site Y
Bibliografía
As equipas de investigação
valistab
poster
Conexões
patrocinadores
Autores
Manual do utilizador
Boletim de notícias
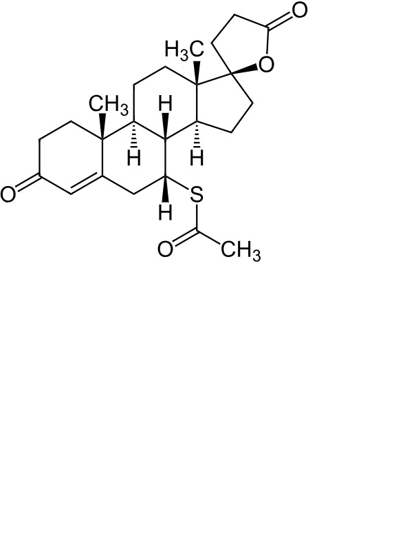
Spironolactone
estrutura química
Bibliografía : Spironolactone
tipo
publicação
4921
jornal
Schettino C, Marianni B, Polonini H.
Compatibility of 17-a-estradiol, Caffeine, Clobetasol Propionate, Finasteride, Melatonin, Metronidazole, Spironolactone, Tretinoin, and Triamcinolone in Trichosol, a Natural Vehicle for Hair Solutions.
Int J Pharm Compound 2025 ;29,1:64-76
Mentions Légales