Ostatnia aktualizacja :
27/11/2025
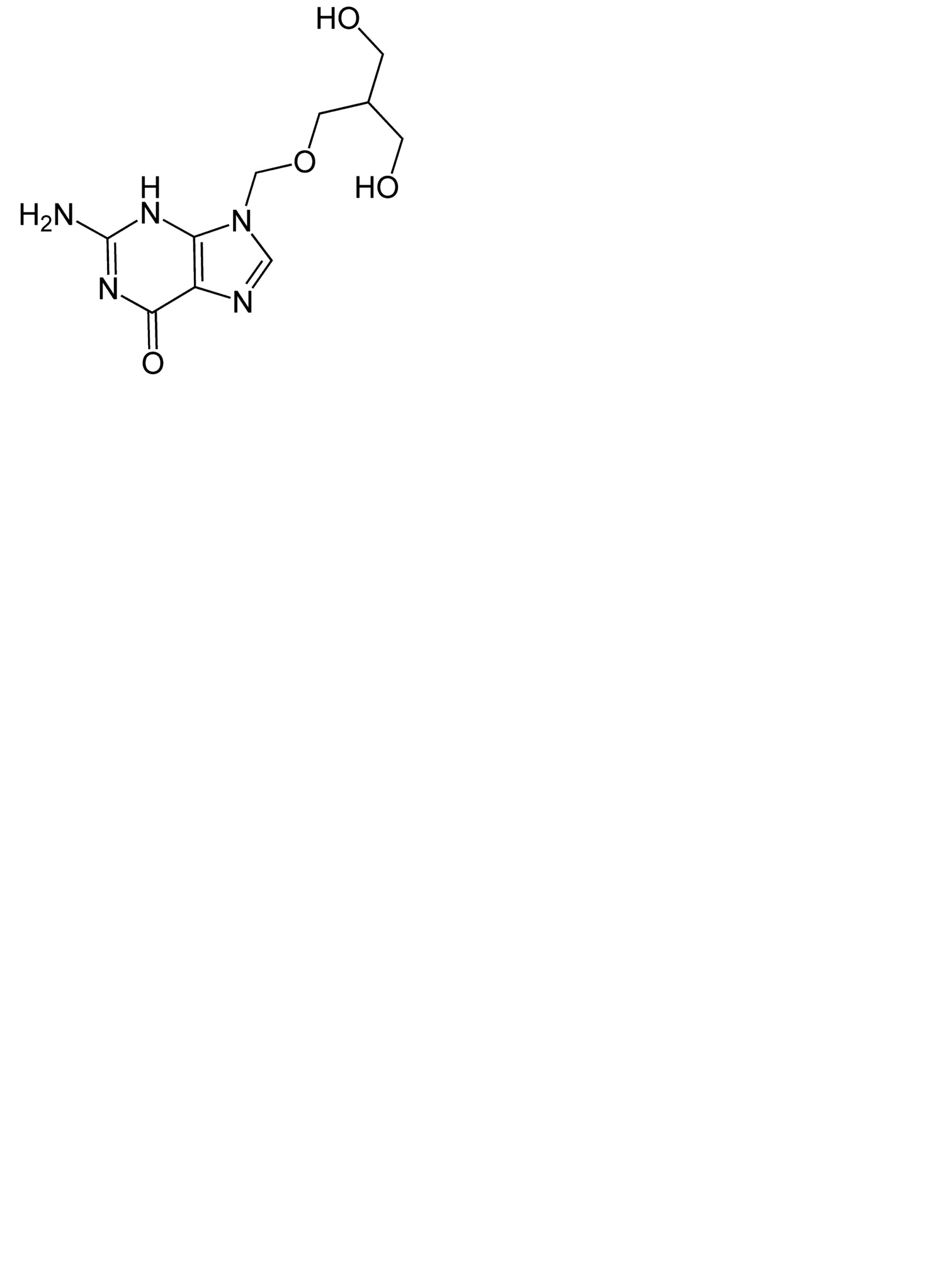
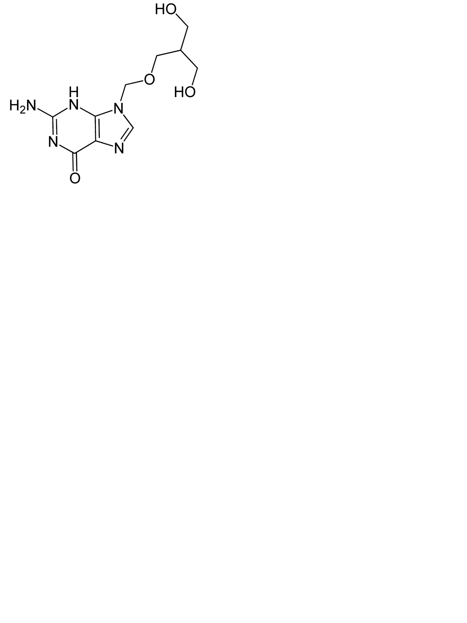
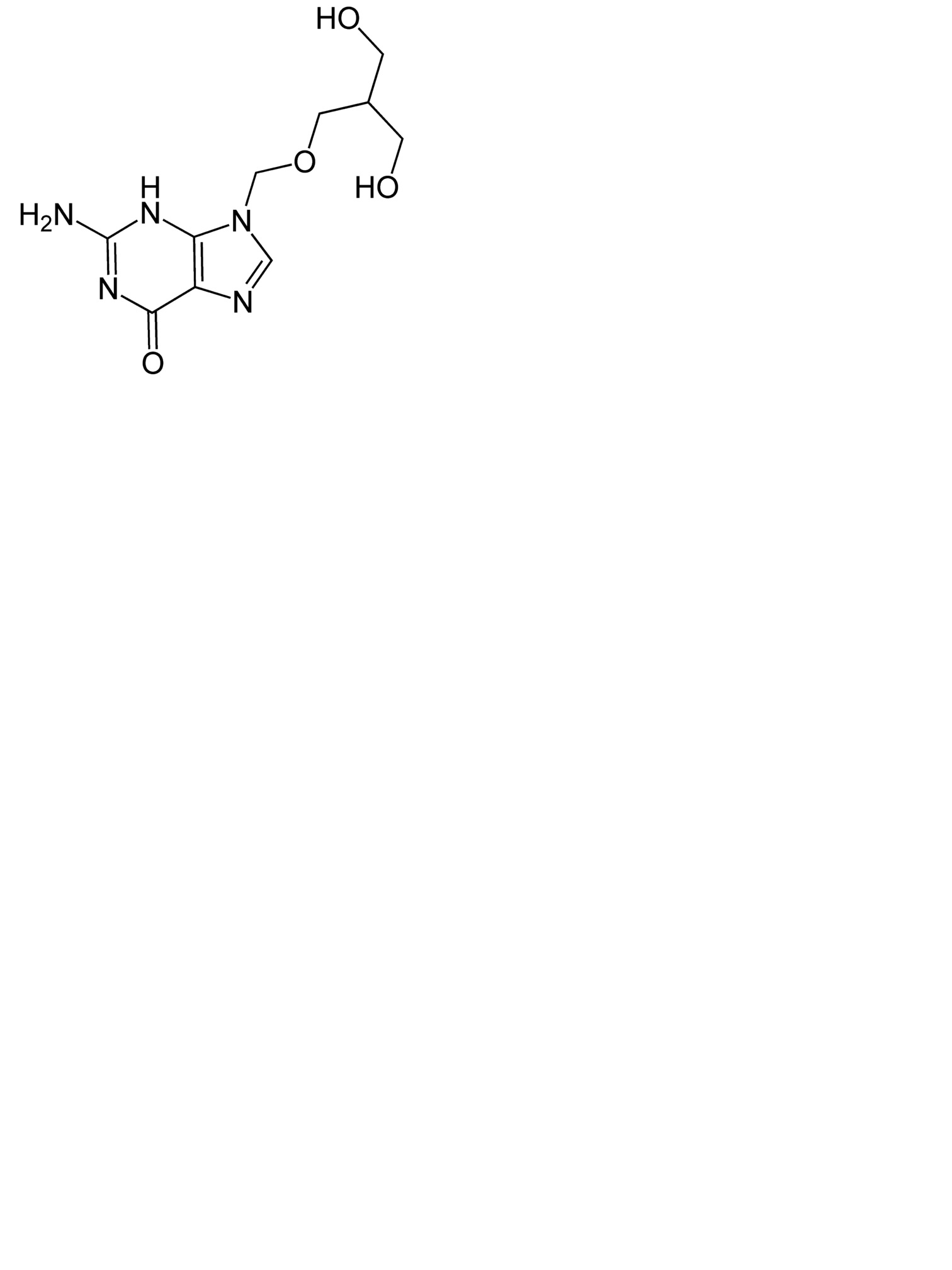
Lek przeciwwirusowy   Ganciclovir  
Krople oczne
Stabilność preparatów farmaceutycznych Trwałość w mieszaninie Czynnik wpływający na trwałość Zgodność Bibliografia pdf
   Struktura chemiczna  

Krople oczne
Bibliografia   Krople oczne   Bibliografia : Ganciclovir  
typ publikacja
4729 Czasopismo Leanpolchareanchai J, Tangteerakoon P, Supapsophon P, Sukavatcharin S, Simaroj P, Suksiriworapong J.
Extemporaneous Preparation of 20 mg/mL Ganciclovir in Artificial Tears in Comparison with SterileWater for Ophthalmic Administration: Formulation and Stability Study.
Pharmaceutics 2023 ; 15, 208.

  Mentions Légales