Pēdējā atjaunošana :
27/11/2025
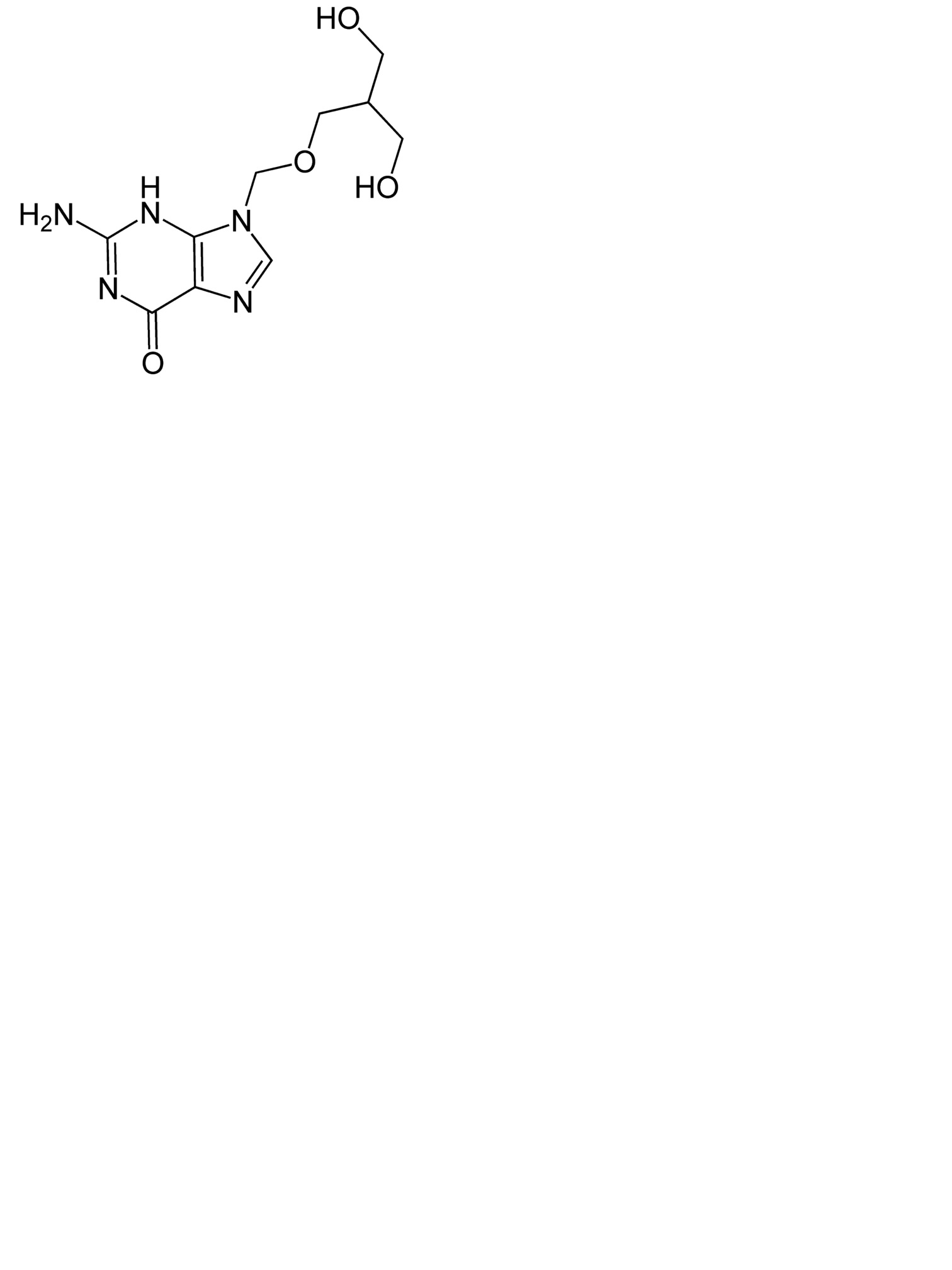
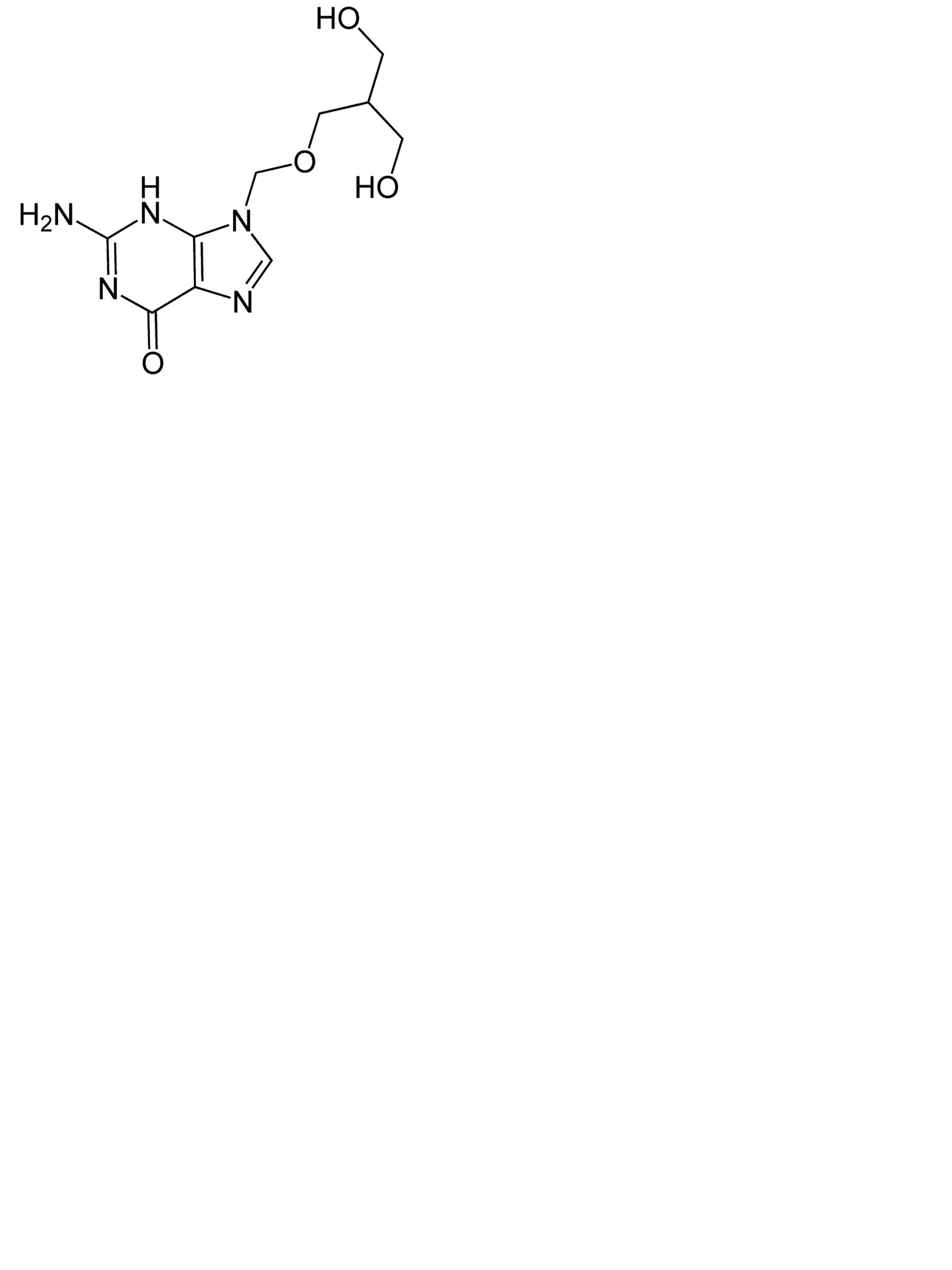
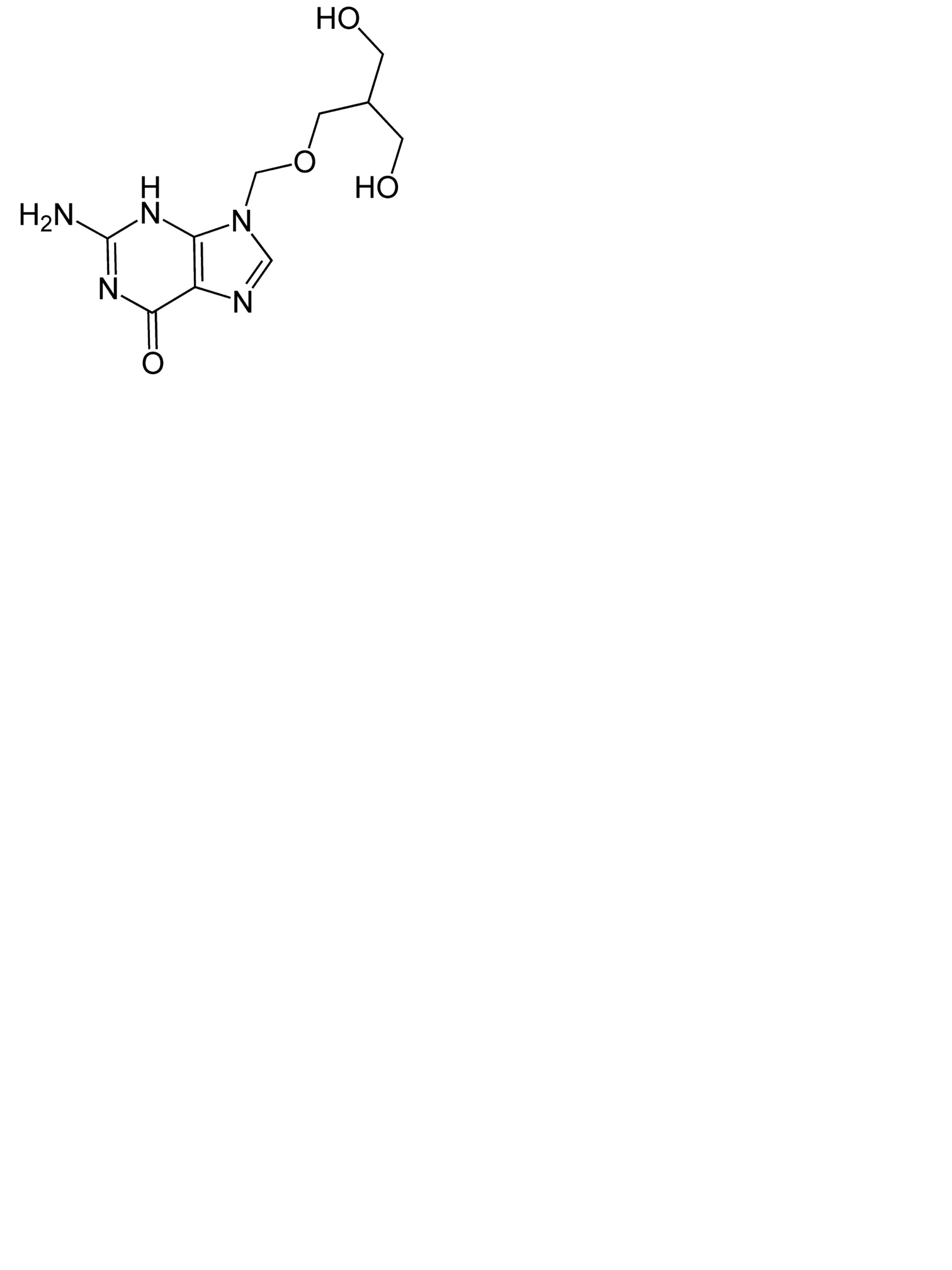
Pretvīrusu līdzeklis   Ganciclovir  
Acu pilieni
Stabilitāte farmaceitisko preparātu Maisījuma stabilitāte Stabilitāti ietekmējoši faktori Saderība Literatūras saraksts pdf
   Ķīmiskā uzbūve   

Acu pilieni
Literatūras saraksts   Acu pilieni   Literatūras saraksts : Ganciclovir  
tips publicēšana
4729 Žurnāls Leanpolchareanchai J, Tangteerakoon P, Supapsophon P, Sukavatcharin S, Simaroj P, Suksiriworapong J.
Extemporaneous Preparation of 20 mg/mL Ganciclovir in Artificial Tears in Comparison with SterileWater for Ophthalmic Administration: Formulation and Stability Study.
Pharmaceutics 2023 ; 15, 208.

  Mentions Légales