Ultimo aggiornamento :
27/11/2025
Infostab
Elenco delle molecole
Elenchi sommari
Cerca compatibilità
Tabella di compatibilità del sito Y
Bibliografia
Le squadre di ricerca
valistab
poster
Connessioni
sponsor
Autori
Manuale d’uso
Bollettino
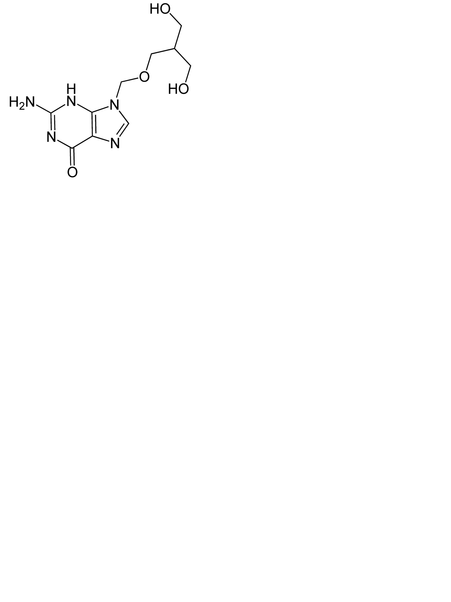
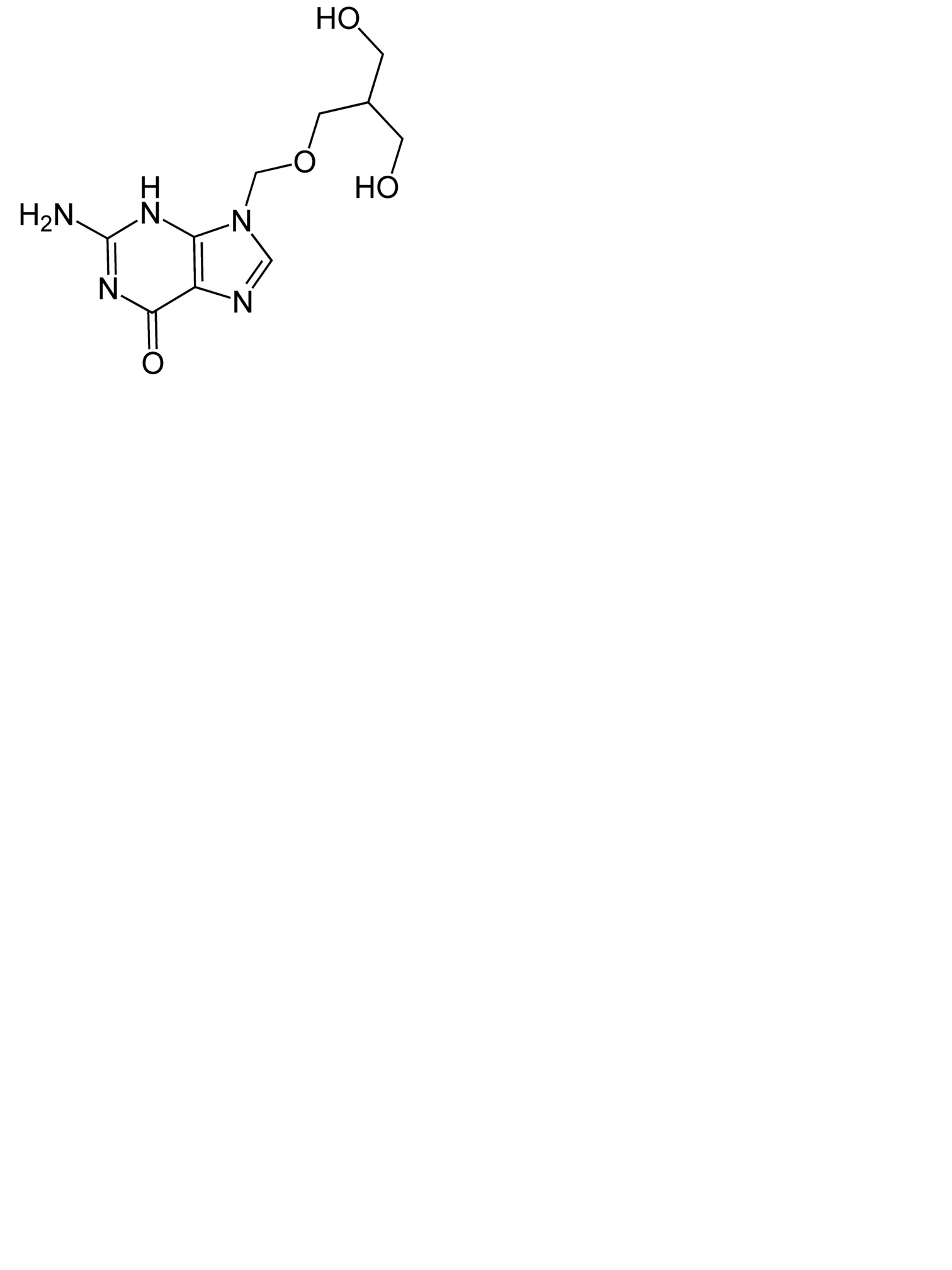
Ganciclovir
Struttura chimica
Bibliografia : Ganciclovir
tipo
pubblicazione
4729
Rivista
Leanpolchareanchai J, Tangteerakoon P, Supapsophon P, Sukavatcharin S, Simaroj P, Suksiriworapong J.
Extemporaneous Preparation of 20 mg/mL Ganciclovir in Artificial Tears in Comparison with SterileWater for Ophthalmic Administration: Formulation and Stability Study.
Pharmaceutics 2023 ; 15, 208.
Mentions Légales