Cập nhật lần cuối :
17/12/2025
Thuốc khử cực giống cura   Atracurium besylate  
Dạng tiêm
Tính ổn định của các dung dịch Độ ổn định khi trộn lẫn Những yếu tố ảnh hưởng đến độ ổn định Khả năng tương thích Đường dùng Tài liệu tham khảo Pdf
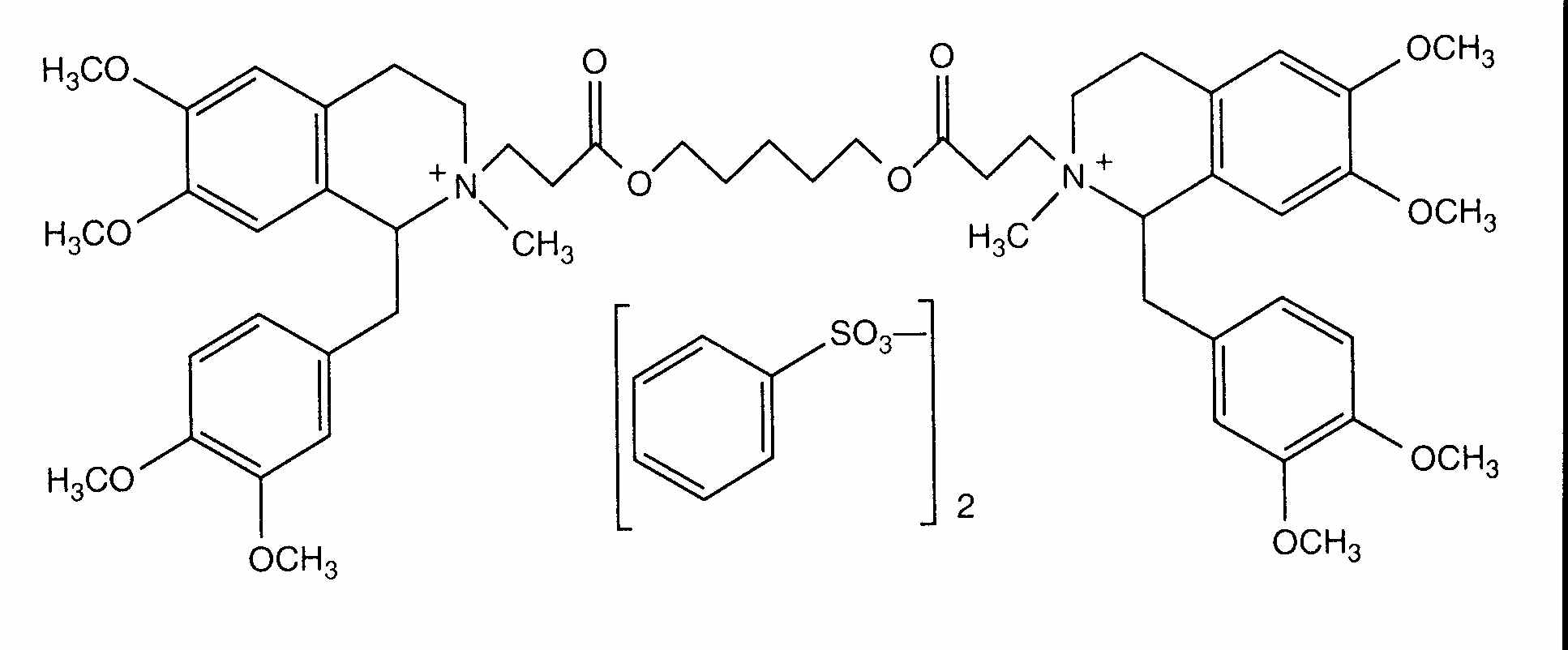
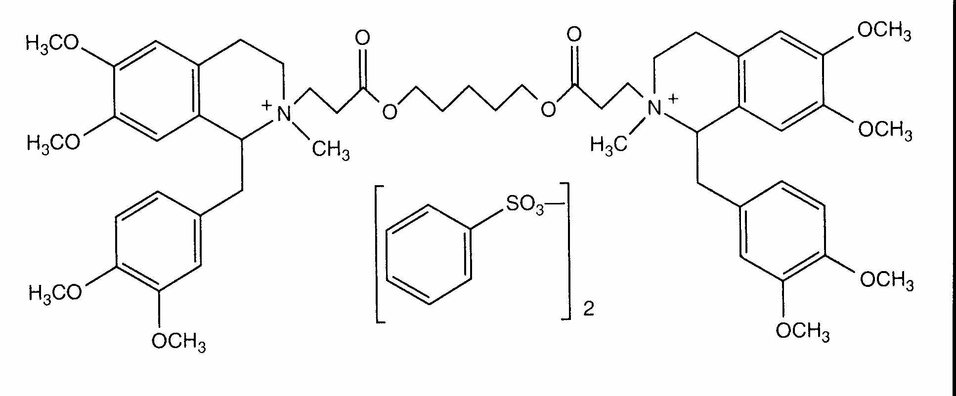
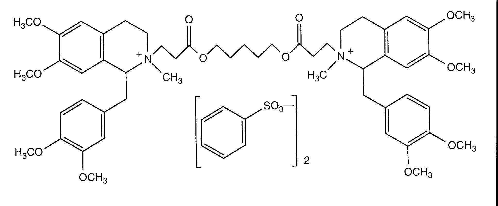
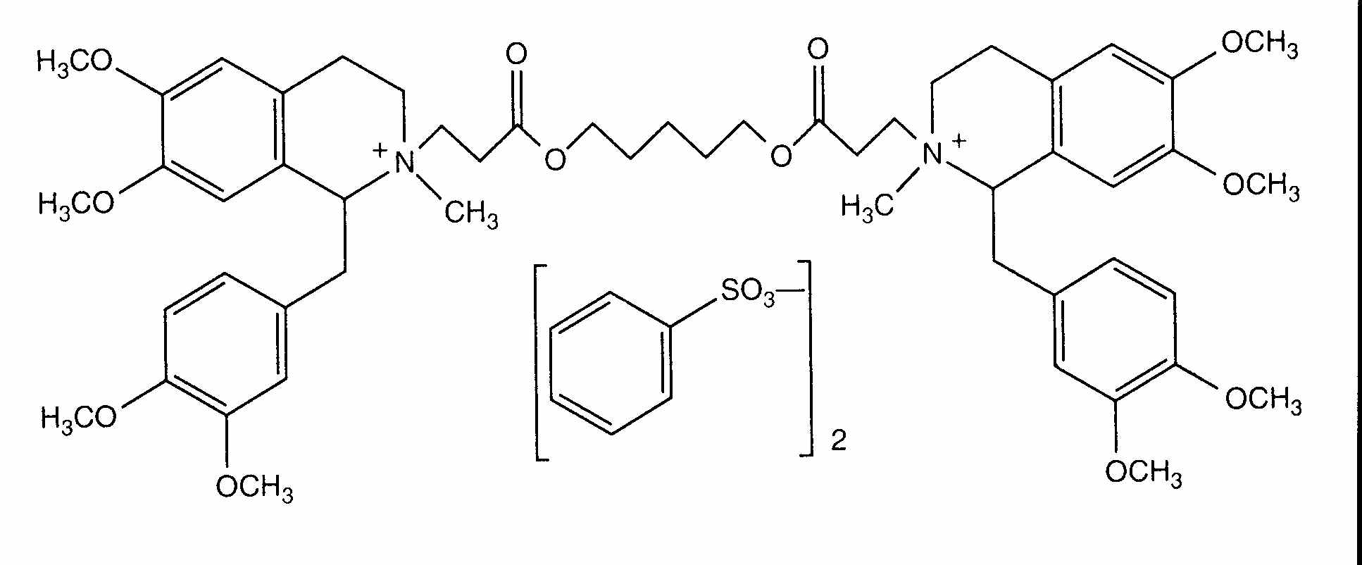
   Cấu trúc hóa học  

Tên thương mại   Tên thương mại     

Các tên thương mại được cung cấp và thành phần tá dược có thể khác nhau giữa các quốc gia và các hãng dược

Abbocurium Ba Lan
Acurmil Ý
Ancour Iran
Anecur Iran
Atacur Ả Rập Saudi
Atrabesylate Ả Rập
Atracurio Argentina, Brazil, Tây Ban Nha
Atracurio besilato Chile, Peru, Venezuela, Ý
Atracurium Ả Rập, Ả Rập Saudi, Anh, Áo, Argentina, Iran, Malaysia, Thụy Điển, United Arab Emirates, Ý, Đức
Atracurium besilat Áo
Atracurium besilate Ả Rập, Ả Rập Saudi, Canada, Hoa Kỳ, Iran, new zealand, Úc, United Arab Emirates
Atralex Malaysia
Atrasyl Thổ Nhĩ Kỳ
Besilato Atracurio Bồ Đào Nha, Chile, Tây Ban Nha
Faulcurium Ả Rập, Bồ Đào Nha
Gelolagar Argentina
Laurak Tây Ban Nha
Neucurium Thổ Nhĩ Kỳ
Notrixum Thổ Nhĩ Kỳ
Relactrac Colombia
Relatrac Mexico
Tracrium Ả Rập, Ả Rập Saudi, Anh, Áo, Ba Lan, Bỉ, Bồ Đào Nha, Chile, Colombia, Ecuador, Hà Lan, Hoa Kỳ, Hungary, Hy Lạp, Iran, Ireland, Luxembourg, Malaysia, Mexico, Morocco, new zealand, Pháp, Romania, Slovenia, Tây Ban Nha, Thổ Nhĩ Kỳ, Thụy Sỹ, United Arab Emirates, Ý, Đức
Tracumek Peru
Tracurix Argentina
Tracuron Argentina
Tính ổn định của các dung dịch   Dạng tiêm   Tính ổn định của các dung dịch : Atracurium besylate     
Bao bì Dung môi Nồng độ Nhiệt độ Bảo quản Thời gian ổn định Mục lục
ống tiêm polypropylene NaCl 0,9% 0,5 >> 5 mg/ml < 30°C Tránh ánh sáng
24 Giờ
3676
Các dữ liệu về độ ổn định của nhà sản xuất

ống tiêm polypropylene Glucose 5% 0,5 >> 5 mg/ml < 30°C Tránh ánh sáng
24 Giờ
3676
Các dữ liệu về độ ổn định của nhà sản xuất

ống tiêm polypropylene Không 10 mg/ml 25°C Không rõ
42 Ngày
657
Cấp độ bằng chứng D

ống tiêm polypropylene Không 10 mg/ml 40°C Không rõ
7 Ngày
657
Cấp độ bằng chứng D

ống tiêm polypropylene Không 10 mg/ml 5°C Tránh ánh sáng
42 Ngày
657
Cấp độ bằng chứng D


  Mentions Légales