Seneste opdatering :
17/12/2025
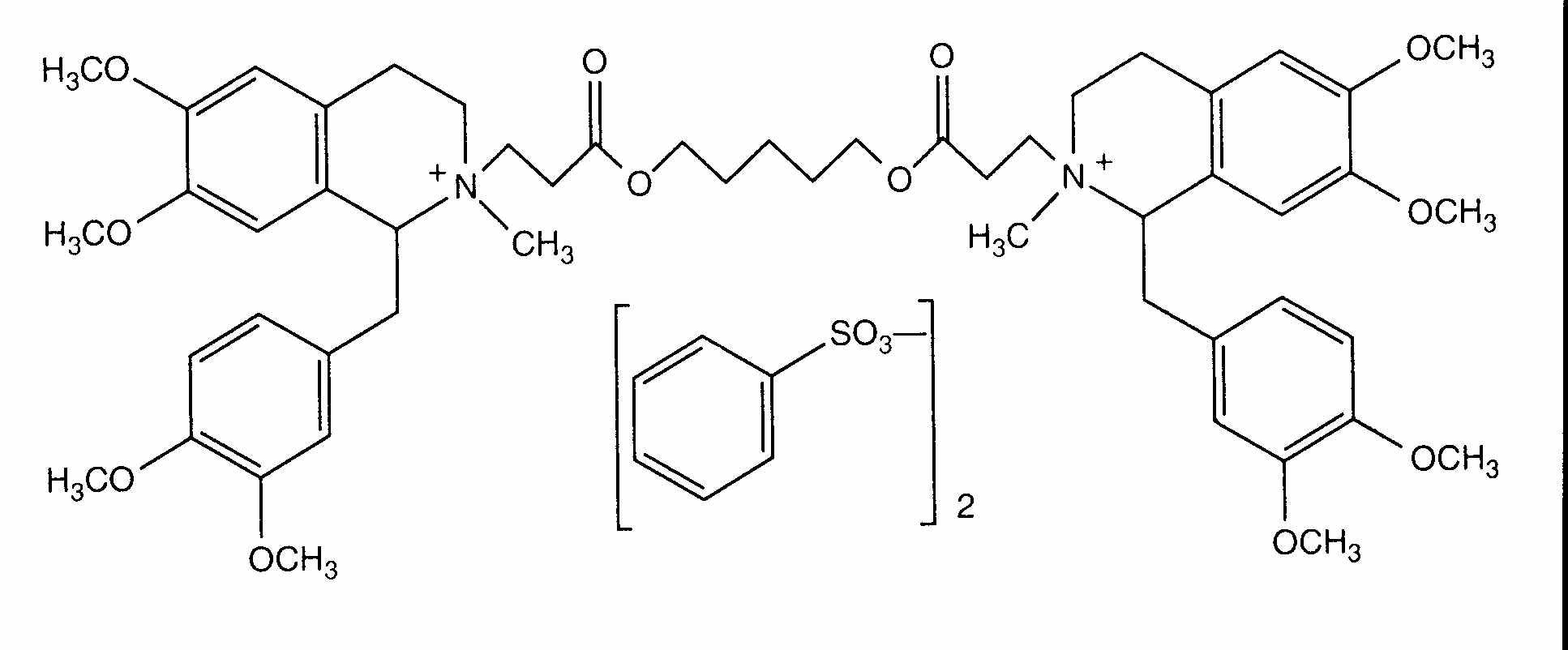
Curamimetisk   Atracurium besylate  
Injektion
Stabilitet i (vandige) opløsninger Stabilitet i blandinger Faktorer der påvirker stabiliteten Kompatibilitet Administrationsvej Bibliografi pdf
   Kemisk struktur  

Handelsnavn   Handelsnavn     

Handel navne er vejledende og hjælpestoffer sammensætning kan være forskellig afhængigt af landet og laboratorier

Abbocurium Polen
Acurmil Italien
Ancour Iran
Anecur Iran
Atacur Saudi-Arabien
Atrabesylate Ægypten
Atracurio Argentina, Brasilien, Spanien
Atracurio besilato Chile, Italien, Marokko, Venezuela
Atracurium Argentina, Forenede Arabiske Emirater, Iran, Italien, Malaysia, Saudi-Arabien, Storbritanien, Sverige, Tyskland, Ægypten, Østrig
Atracurium besilat Østrig
Atracurium besilate Australien, Canada, Forenede Arabiske Emirater, Iran, New Zealand, Saudi-Arabien, USA, Ægypten
Atralex Malaysia
Atrasyl Tyrkiet
Besilato Atracurio Chile, Portugal, Spanien
Faulcurium Portugal, Ægypten
Gelolagar Argentina
Laurak Spanien
Neucurium Tyrkiet
Notrixum Tyrkiet
Relactrac Colombia
Relatrac Mexico
Tracrium Belgien, Chile, Colombia, Ecuador, Forenede Arabiske Emirater, Frankrig, Grækenland, Holland, Iran, Irland, Italien, Luxemborg, Malaysia, Marokko, Mexico, New Zealand, Polen, Portugal, Rumænien, Saudi-Arabien, Schweiz, Slovenien, Spanien, Storbritanien, Tyrkiet, Tyskland, Ungarn, USA, Ægypten, Østrig
Tracumek Marokko
Tracurix Argentina
Tracuron Argentina
Stabilitet i (vandige) opløsninger   Injektion   Stabilitet i (vandige) opløsninger : Atracurium besylate     
Beholder Opløsningsmiddel Koncentration Temperatur Konservering Varighed af stabilitet Bibliografi
sprøjte polypropylen 0,9 % Natriumklorid 0,5 >> 5 mg/ml < 30°C Beskyt mod lys
24 Time
3676
Producentens stabilitet data

sprøjte polypropylen 5 % Glukose 0,5 >> 5 mg/ml < 30°C Beskyt mod lys
24 Time
3676
Producentens stabilitet data

sprøjte polypropylen Ingen 10 mg/ml 25°C Ikke nærmere angivet
42 Dag
657
Level af bevismateriale D

sprøjte polypropylen Ingen 10 mg/ml 40°C Ikke nærmere angivet
7 Dag
657
Level af bevismateriale D

sprøjte polypropylen Ingen 10 mg/ml 5°C Beskyt mod lys
42 Dag
657
Level af bevismateriale D


  Mentions Légales