Siste oppdatering :
05/12/2025
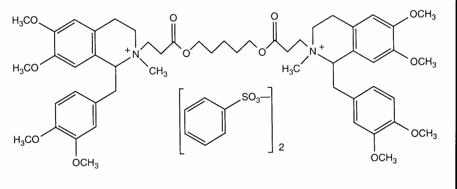
Kurarelignende middel   Atracurium besylate  
Injeksjon
Oppløsningsstabilitet Stabilitet i blandinger Faktorer som påvirker stabiliteten Kompatibilitet Administrasjonsmåte Referanser pdf
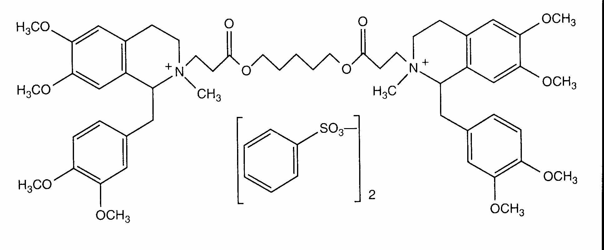
   Kjemisk struktur  

Handelsnavn   Handelsnavn     

Handelsnavn er veiledende og sammensetning av hjelpestoffer kan være forskjellig avhengig av land og produsent

Abbocurium Polen
Acurmil Italia
Ancour Iran
Anecur Iran
Atacur Saudi-Arabia
Atrabesylate Egypt
Atracurio Argentina, Brasil, Spania
Atracurio besilato Chile, Italia, Peru, Venezuela
Atracurium Argentina, De forente arabiske emirater, Egypt, Iran, Italia, Malaysia, Saudi-Arabia, Storbritannia, Sverige, Tyskland, Østerrike
Atracurium besilat Østerrike
Atracurium besilate Australia, Canada, De forente arabiske emirater, Egypt, Iran, New Zealand, Saudi-Arabia, USA
Atralex Malaysia
Atrasyl Tyrkia
Besilato Atracurio Chile, Portugal, Spania
Faulcurium Egypt, Portugal
Gelolagar Argentina
Laurak Spania
Neucurium Tyrkia
Notrixum Tyrkia
Relactrac Colombia
Relatrac Mexico
Tracrium Belgia, Chile, Colombia, De forente arabiske emirater, Ecuador, Egypt, Frankrike, Hellas, Iran, Irland, Italia, Luxembourg, Malaysia, Marokko, Mexico, Nederland, New Zealand, Polen, Portugal, Romania, Saudi-Arabia, Slovenia, Spania, Storbritannia, Sveits, Tyrkia, Tyskland, Ungarn, USA, Østerrike
Tracumek Peru
Tracurix Argentina
Tracuron Argentina
Oppløsningsstabilitet   Injeksjon   Oppløsningsstabilitet : Atracurium besylate     
Beholder Oppløsningsmiddel Konsentrasjon Temperatur Oppbevaring Varighet av stabilitet Referanser
Sprøyte polypropylen Natriumklorid 0,9 % 0,5 >> 5 mg/ml < 30°C Beskyttes mot lys
24 Tid
3676
Stabilitetsopplysninger fra produsent

Sprøyte polypropylen Glukose 5 % 0,5 >> 5 mg/ml < 30°C Beskyttes mot lys
24 Tid
3676
Stabilitetsopplysninger fra produsent

Sprøyte polypropylen Ingen 10 mg/ml 25°C Ikke angitt
42 Dag
657
Bevisgrad D

Sprøyte polypropylen Ingen 10 mg/ml 40°C Ikke angitt
7 Dag
657
Bevisgrad D

Sprøyte polypropylen Ingen 10 mg/ml 5°C Beskyttes mot lys
42 Dag
657
Bevisgrad D


  Mentions Légales