Последнее обновление :
17/12/2025
Кураримиметик   Atracurium besylate  
Инъекция
Стабильность растворов Стабильность смесей Факторы, которые влияют на стабильность Совместимость Способы введения Библиография pdf
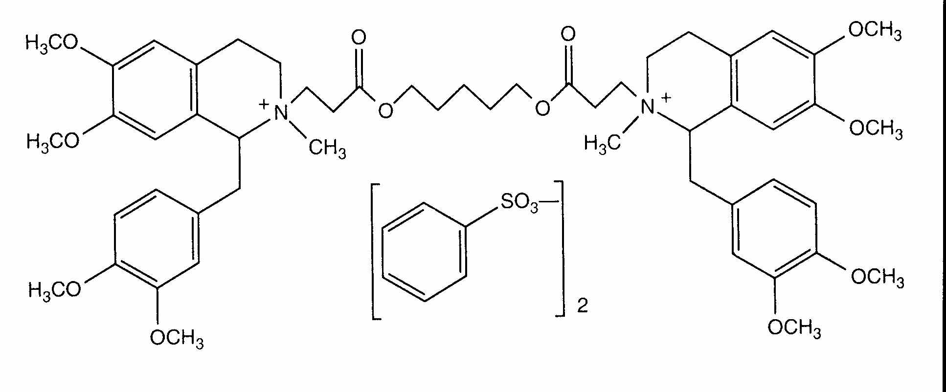
   Химическая структура  

Товарное название   Товарное название     

Trade names are indicative and excipients composition can be different depending on the country and manufacturers

Abbocurium Польша
Acurmil Италия
Ancour Иран
Anecur Иран
Atacur Саудовская Аравия
Atrabesylate Египет
Atracurio Аргентина, Бразилия, Испания
Atracurio besilato Венесуэла, Италия, Перу, чили
Atracurium Австрия, Аргентина, Великобритания, Германия, Египет, Иран, Италия, Малайзия, Объединенные Арабские Эмираты, Саудовская Аравия, Швеция
Atracurium besilat Австрия
Atracurium besilate Австралия, Египет, Иран, Канада, новая Зеландия, Объединенные Арабские Эмираты, Саудовская Аравия, Соединённые Штаты Америки
Atralex Малайзия
Atrasyl Турция
Besilato Atracurio Испания, Португалия, чили
Faulcurium Египет, Португалия
Gelolagar Аргентина
Laurak Испания
Neucurium Турция
Notrixum Турция
Relactrac Колумбия
Relatrac Мексика
Tracrium Австрия, Бельгия, Великобритания, Венгрия, Германия, Голландия, Греция, Египет, Иран, Ирландия, Испания, Италия, Колумбия, Люксембург, Малайзия, Марокко, Мексика, новая Зеландия, Объединенные Арабские Эмираты, Польша, Португалия, Румыния, Саудовская Аравия, Словения, Соединённые Штаты Америки, Турция, Франция, чили, Швейцария, Эквадор
Tracumek Перу
Tracurix Аргентина
Tracuron Аргентина
Стабильность растворов   Инъекция   Стабильность растворов : Atracurium besylate     
Упаковка Растворитель Концентрация Температура Хранение Продолжительность стабильности Ссылки
Шприц полипропилен Натрия хлорид 0,9% 0,5 >> 5 mg/ml < 30°C Защищён от света
24 Час
3676
Данные по стабльности от изготовителя

Шприц полипропилен Глюкоза 5% 0,5 >> 5 mg/ml < 30°C Защищён от света
24 Час
3676
Данные по стабльности от изготовителя

Шприц полипропилен Нет 10 mg/ml 25°C Не указано
42 День
657
Уровень доказательности D

Шприц полипропилен Нет 10 mg/ml 40°C Не указано
7 День
657
Уровень доказательности D

Шприц полипропилен Нет 10 mg/ml 5°C Защищён от света
42 День
657
Уровень доказательности D


  Mentions Légales