Última actualização :
18/03/2026
Curarizante   Atracurium besylate  
injetável
Estabilidade em soluções simples Estabilidade em misturas Factores que afectam a sua estabilidade Compatibilidade Método de administração Bibliografía pdf
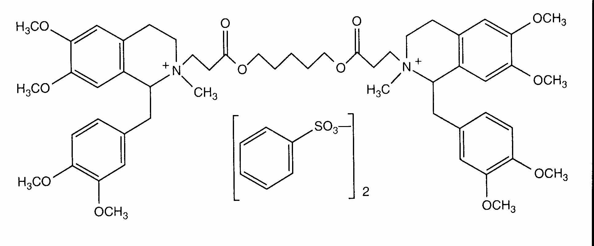
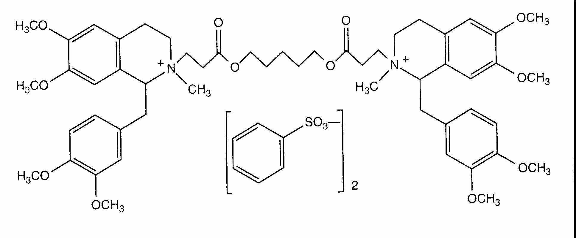
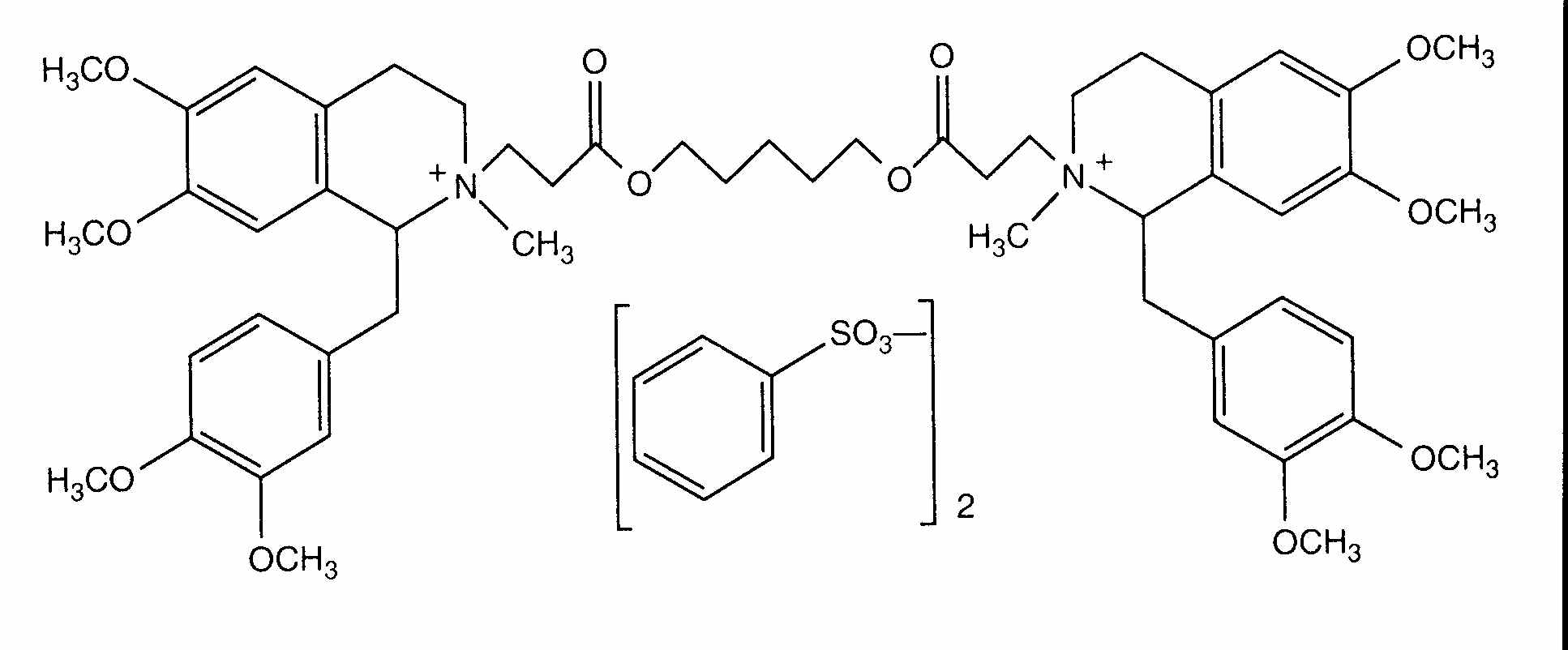
   estrutura química  

Nomes comerciais nos diversos países   Nomes comerciais nos diversos países     

OS NOMES COMERCIAIS SÃO INDICATIVOS E OS EXCIPIENTES DA FORMULAÇÃO PODEM SER DIFERENTES CONFORME O PAÍS E FABRICANTE.

Abbocurium Polonia
Acurmil Itália
Ancour Irã
Anecur Irã
Atacur Arábia Saudita
Atrabesylate Egipto
Atracurio Argentina, Brasil, Espanha
Atracurio besilato Chilli, Itália, Peru, Venezuela
Atracurium Alemanha, Arábia Saudita, Argentina, Austria, Egipto, Emirados Árabes Unidos, Gran-bretanha, Irã, Itália, Malásia, Suècia
Atracurium besilat Austria
Atracurium besilate Arábia Saudita, Australia, Canadá, Egipto, Emirados Árabes Unidos, Estados Unidos de América, Irã, nova Zelândia
Atralex Malásia
Atrasyl Turquia
Besilato Atracurio Chilli, Espanha, Portugal
Faulcurium Egipto, Portugal
Gelolagar Argentina
Laurak Espanha
Neucurium Turquia
Notrixum Turquia
Relactrac Colômbia
Relatrac México
Tracrium Alemanha, Arábia Saudita, Austria, Bélgica, Chilli, Colômbia, Egipto, Emirados Árabes Unidos, Equator, Eslovenia, Espanha, Estados Unidos de América, França, Gran-bretanha, Grècia, Hungria, Irã, Irlanda, Itália, Luxemburgo, Malásia, Marrocos, México, nova Zelândia, Países Baixos, Polonia, Portugal, Romènia, Suicia, Turquia
Tracumek Peru
Tracurix Argentina
Tracuron Argentina
Estabilidade em misturas   injetável   Estabilidade em misturas : Atracurium besylate     
Embalagem Solvente concentração molécula temperatura conservação Duração da estabilidade Bibliografia
vidro Glucose 5% 0,5 mg/ml
injetável   Atracurium besylate   
injetável   Milrinone lactate 0,2 mg/ml
22°C-23°C
4 hora
luz 813
Nível de evidência A
vidro Glucose 5% 1 & 5 mg/ml
injetável   Atracurium besylate   
injetável   Midazolam hydrochloride 0,1 & 0,5 mg/ml
25°C
3 hora
luz 865
Nível de evidência C

  Mentions Légales