viimane versioon :
18/03/2026
Kuraare-taoline  ravim   Atracurium besylate  
Süsteravim
Stabiilsus lahustes Stabiilsust mõjutavad tegurid stabiilsust mõjutavad faktorid Sobimatus Manustamis viis Viited pdf
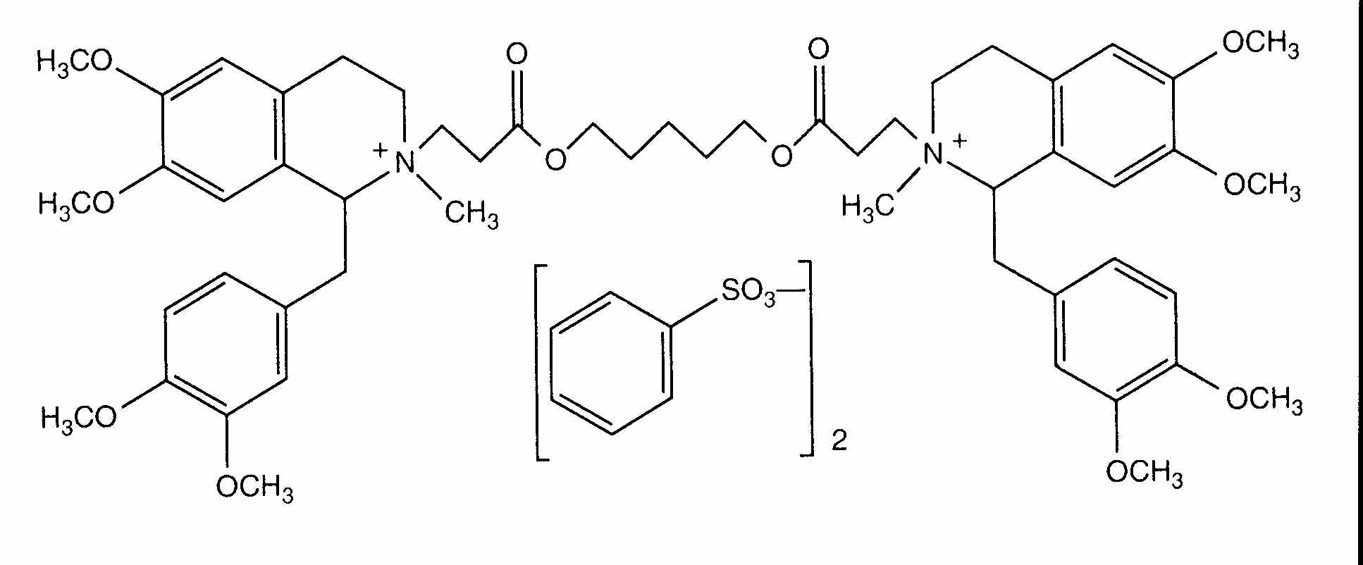
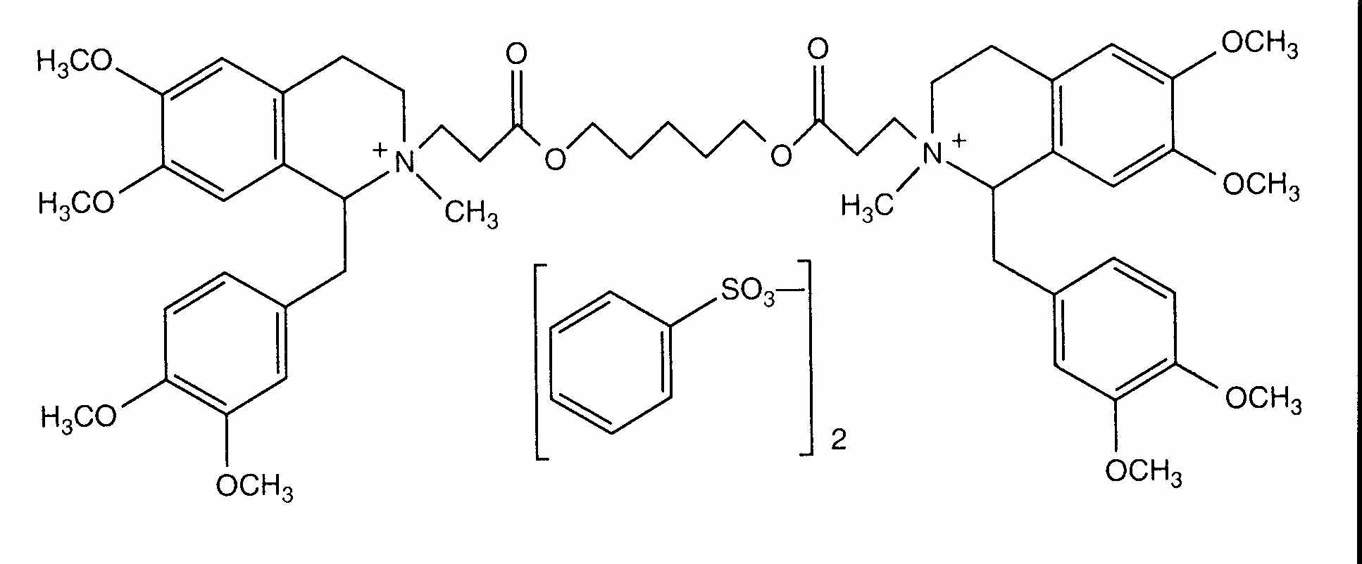
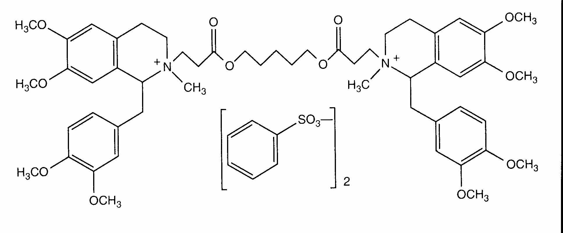
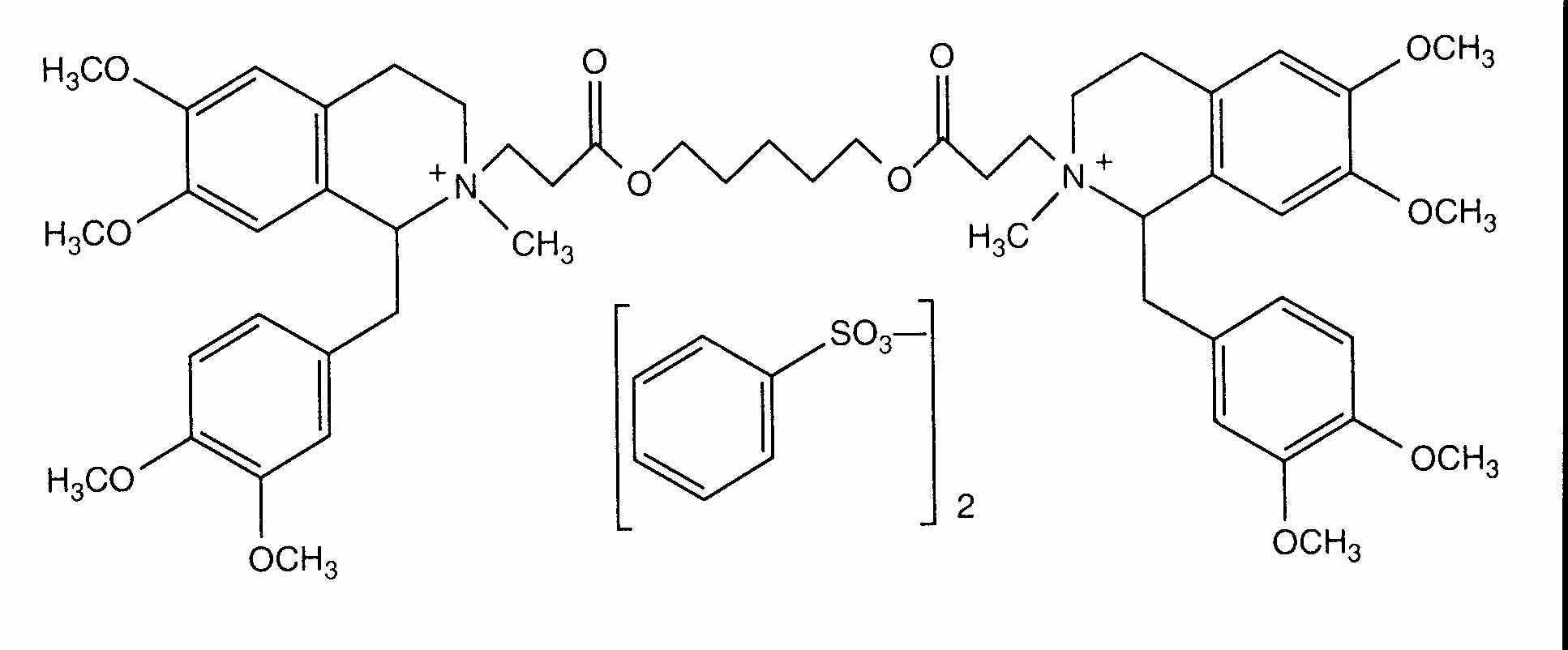
   keemiline struktuur  

Kaubanduslikud nimed erinevates maades   Kaubanduslikud nimed erinevates maades     

Preparaatide nimed on näitlikud ja abianete sisaldus võib erineda sõltuvalt riigist ja laborist

Abbocurium Poola
Acurmil Itaalia
Ancour Iraan
Anecur Iraan
Atacur Saudi Araabia
Atrabesylate Egiptus
Atracurio Argentiina, Brasiilia, Hispaania
Atracurio besilato Itaalia, Maroko, Tšiili, Venetsueela
Atracurium Araabia Ühendemiraadid, Argentiina, Austria, Egiptus, Iraan, Itaalia, Malaisia, Rootsi, Saksamaa, Saudi Araabia, Suurbritannia
Atracurium besilat Austria
Atracurium besilate Ameerika ühendriigid, Araabia Ühendemiraadid, Austraalia, Egiptus, Iraan, Kanada, Saudi Araabia, uus-Meremaa
Atralex Malaisia
Atrasyl Türgi
Besilato Atracurio Hispaania, Portugal, Tšiili
Faulcurium Egiptus, Portugal
Gelolagar Argentiina
Laurak Hispaania
Neucurium Türgi
Notrixum Türgi
Relactrac Kolumbia
Relatrac Mehhiko
Tracrium Ameerika ühendriigid, Araabia Ühendemiraadid, Austria, Belgia, Ecuador, Egiptus, Hispaania, Holland, Iirimaa, Iraan, Itaalia, Kolumbia, Kreeka, Luksemburg, Malaisia, Maroko, Mehhiko, Poola, Portugal, Prantsusmaa, Rumeenia, Saksamaa, Saudi Araabia, Sloveenia, Suurbritannia, Sveits, Tšiili, Türgi, Ungari, uus-Meremaa
Tracumek Maroko
Tracurix Argentiina
Tracuron Argentiina
Stabiilsust mõjutavad tegurid   Süsteravim   Stabiilsust mõjutavad tegurid : Atracurium besylate     
konteiner lahusti kontsentratsioon ingredient temperatuur ladustamine Stabiilsuse kestus Viited
klaas glükoos 5% 0,5 mg/ml
Süsteravim   Atracurium besylate   
Süsteravim   Milrinone lactate 0,2 mg/ml
22°C-23°C
4 Tund
valgus 813
Tõenduspõhisuse tase A
klaas glükoos 5% 1 & 5 mg/ml
Süsteravim   Atracurium besylate   
Süsteravim   Midazolam hydrochloride 0,1 & 0,5 mg/ml
25°C
3 Tund
valgus 865
Tõenduspõhisuse tase C

  Mentions Légales