Utolsó frissítés :
17/12/2025
Izombénító   Atracurium besylate  
Injekció
Az oldatok stabilitása A keverékek stabilitása Stabilitást befolyásoló tényezők Kompatibilitás Az alkalmazás módja Irodalom pdf
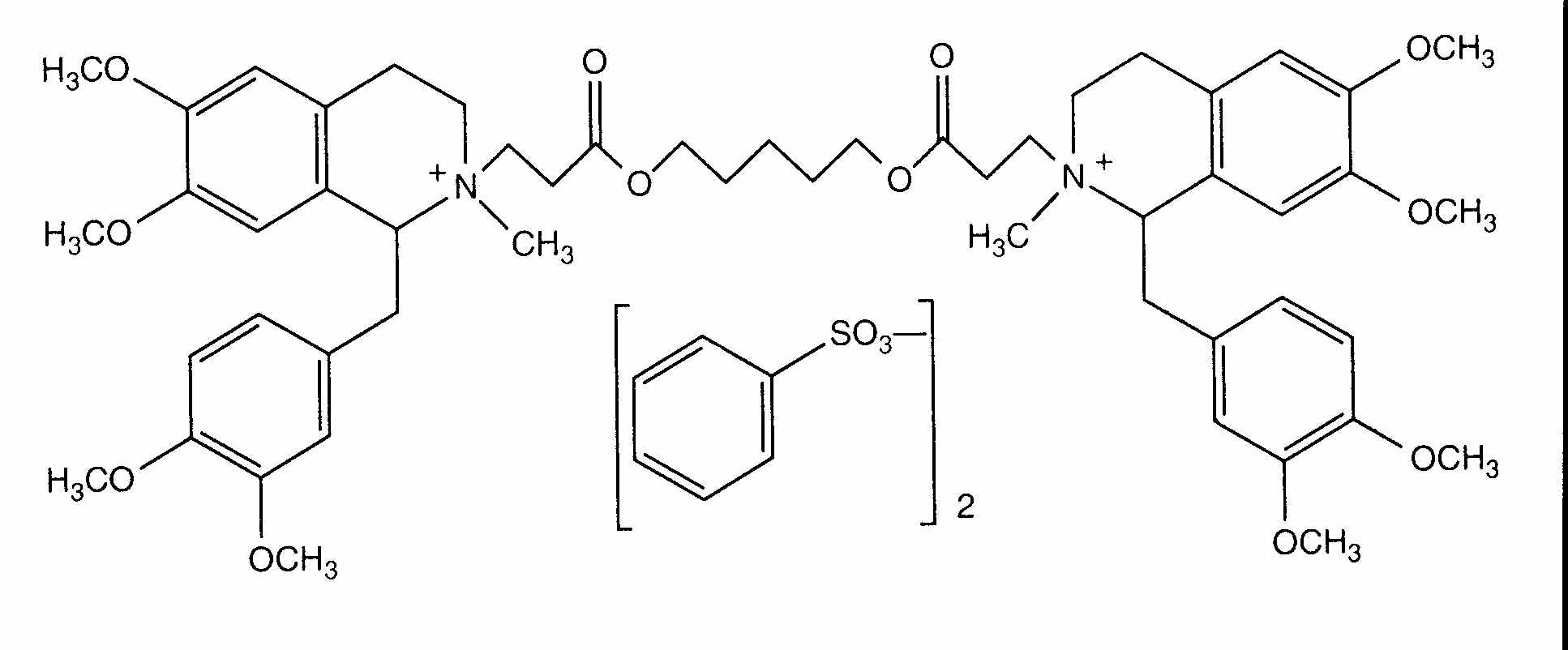
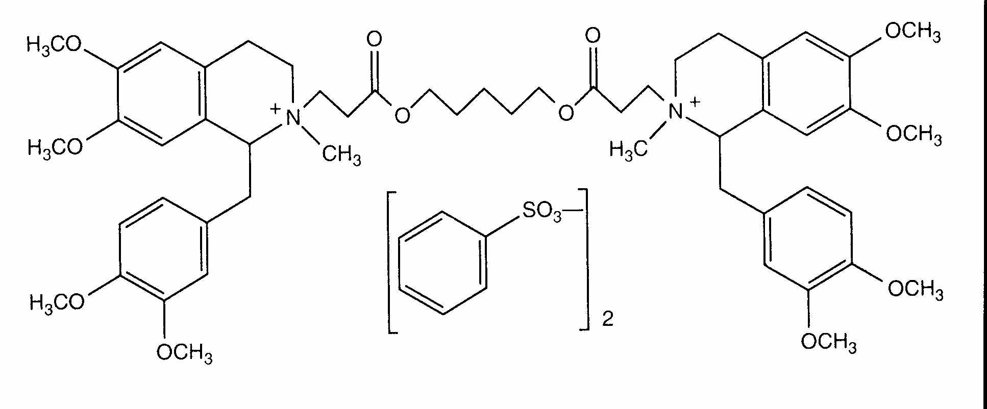
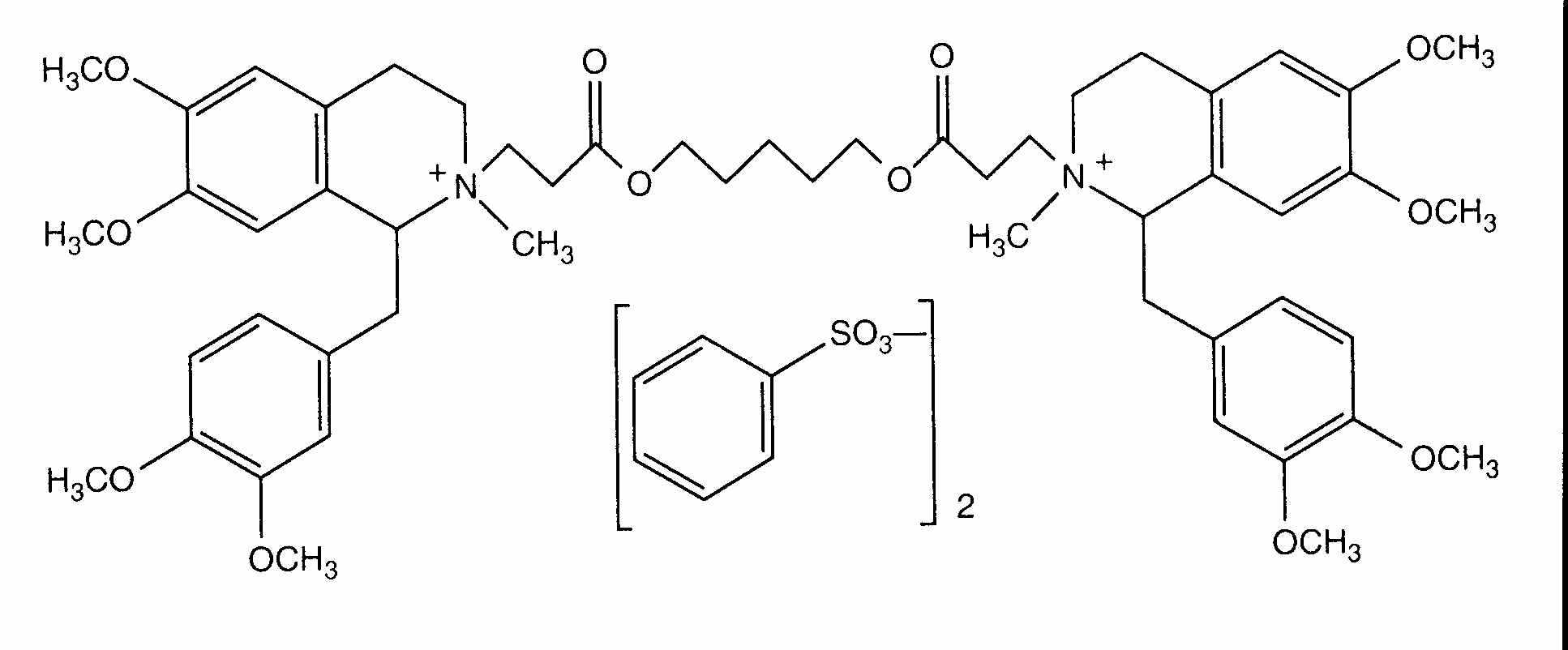
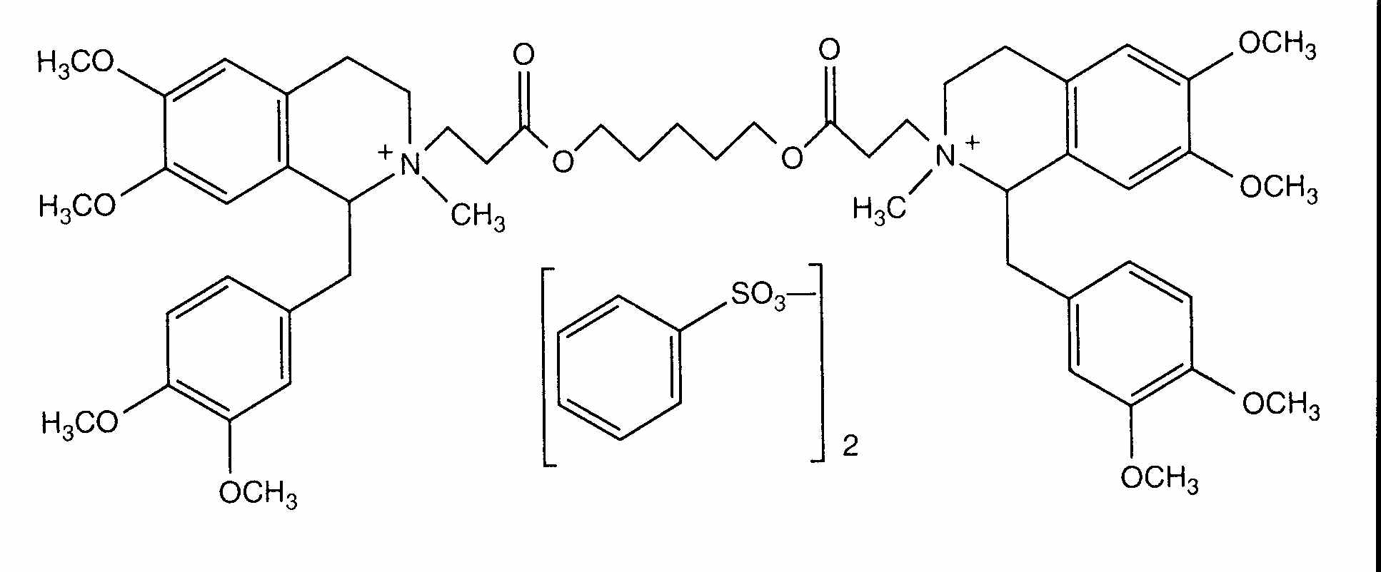
   Kémiai szerkezet   

Kereskedelmi név   Kereskedelmi név     

A kereskedelmi név meghatározó jelentőségű: a készítmények összetétele országonként, előállítóként eltérő lehet

Abbocurium Lengyelország
Acurmil Olaszország
Ancour Irán
Anecur Irán
Atacur Szaúd-Arábiában
Atrabesylate Egyiptom
Atracurio Argentína, Brazília, Spanyolország
Atracurio besilato Chile, Olaszország, Peru, Venezuela
Atracurium Argentína, Ausztria, Egyesült Arab Emírségek, Egyiptom, Irán, Malaysia, Nagy-Britannia, Németország, Olaszország, Svédország, Szaúd-Arábiában
Atracurium besilat Ausztria
Atracurium besilate Amerikai Egyesült Államok, Ausztrália, Egyesült Arab Emírségek, Egyiptom, Irán, Kanada, Szaúd-Arábiában, új-Zéland
Atralex Malaysia
Atrasyl Törökország
Besilato Atracurio Chile, Portugália, Spanyolország
Faulcurium Egyiptom, Portugália
Gelolagar Argentína
Laurak Spanyolország
Neucurium Törökország
Notrixum Törökország
Relactrac Colombia
Relatrac Mexikó
Tracrium Amerikai Egyesült Államok, Ausztria, Belgium, Chile, Colombia, Ecuador, Egyesült Arab Emírségek, Egyiptom, Franciaország, Görögország, Hollandia, Irán, Írország, Lengyelország, Luxemburg, Magyarország, Malaysia, Marokkó, Mexikó, Nagy-Britannia, Németország, Olaszország, Portugália, Románia, Spanyolország, Svájc, Szaúd-Arábiában, Szlovénia, Törökország, új-Zéland
Tracumek Peru
Tracurix Argentína
Tracuron Argentína
A keverékek stabilitása   Injekció   A keverékek stabilitása : Atracurium besylate     
Csomagolás Oldószer Koncentráció Vegyület Hőmérséklet Tárolás A stabilitás időtartama Irodalom
Üveg 5% glükóz 0,5 mg/ml
Injekció   Atracurium besylate   
Injekció   Milrinone lactate 0,2 mg/ml
22°C-23°C
4 Óra
Fény 813
Szintű bizonyítékot A
Üveg 5% glükóz 1 & 5 mg/ml
Injekció   Atracurium besylate   
Injekció   Midazolam hydrochloride 0,1 & 0,5 mg/ml
25°C
3 Óra
Fény 865
Szintű bizonyítékot C

  Mentions Légales