Laatste update :
18/03/2026
Curarimimeticum   Atracurium besylate  
injecteerbaar geneesmiddel
Stabiliteit in oplossing Stabiliteit in mengsels Factoren die de stabiliteit beïnvloeden Verenigbaarheden Toedieningswijze Literatuur pdf
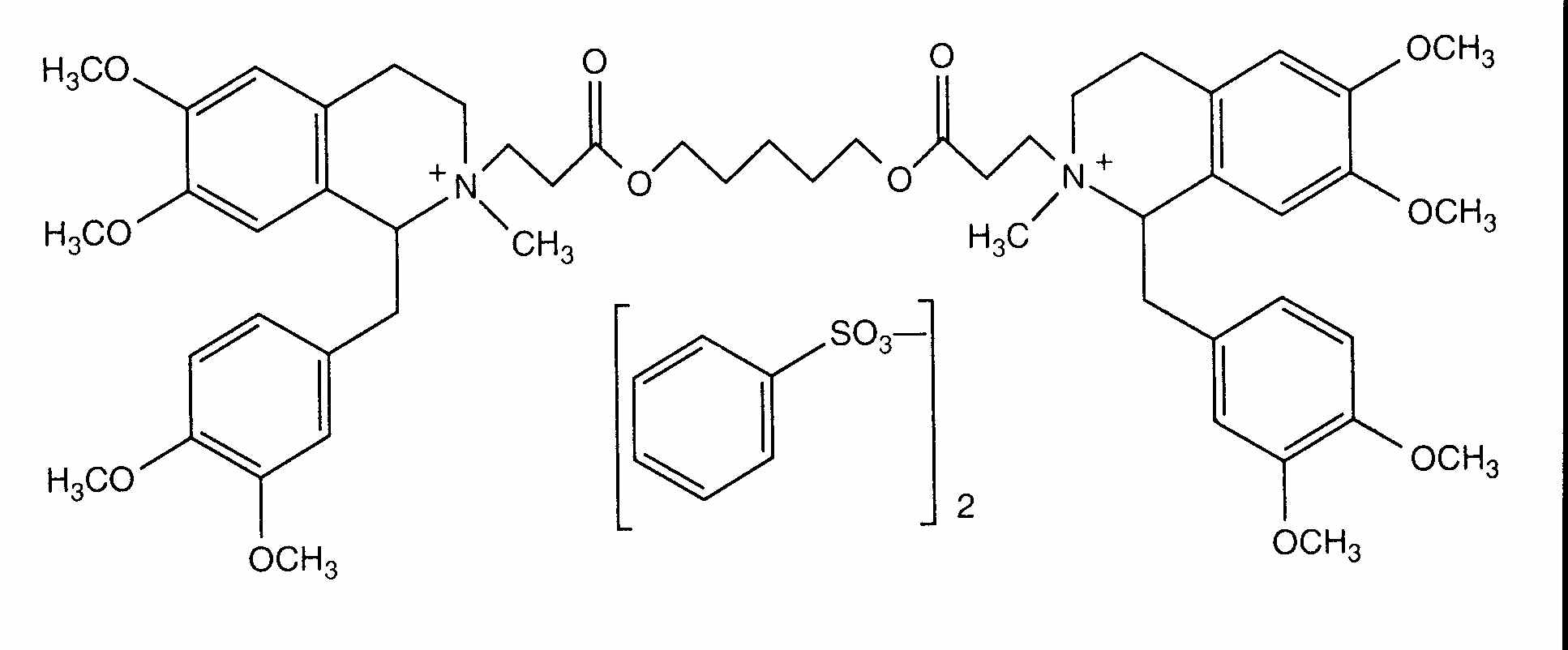
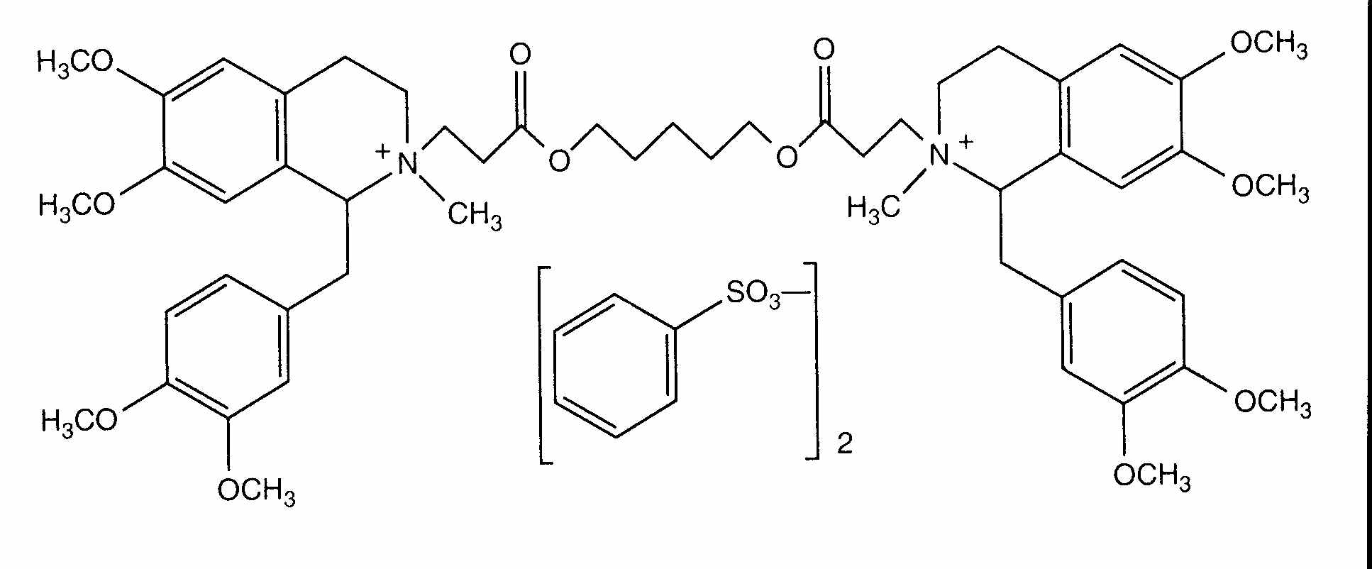
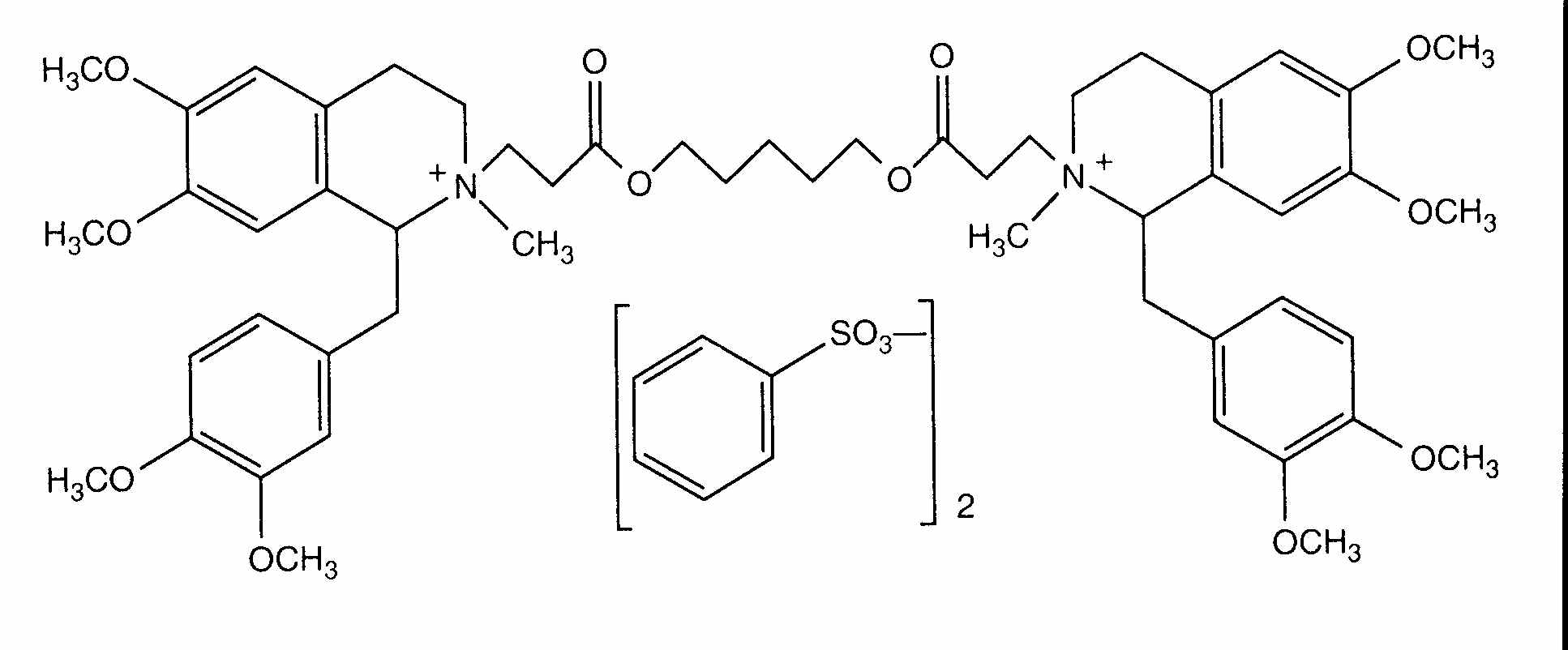
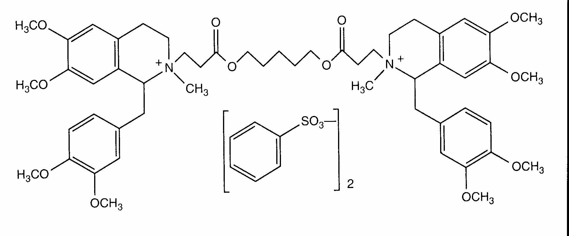
   Molecuulstructuur  

Merknamen in verschillende landen   Merknamen in verschillende landen     

Handelsnamen zijn slechts een indicatie; de samenstelling van hulpstoffen kan per land variëren afhankelijk van de fabrikant

Abbocurium Polen
Acurmil Italië
Ancour Iran
Anecur Iran
Atacur Saudi-Arabië
Atrabesylate Egypte
Atracurio Argentinië, Brazilië, Spanje
Atracurio besilato Chili, Italië, Peru, Venezuela
Atracurium Argentinië, Duitsland, Egypte, Groot Britannië, Iran, Italië, Maleisië, Oostenrijk, Saudi-Arabië, Verenigde Arabische Emiraten, Zweden
Atracurium besilat Oostenrijk
Atracurium besilate Australië, Canada, Egypte, Iran, nieuw Zeeland, Saudi-Arabië, USA, Verenigde Arabische Emiraten
Atralex Maleisië
Atrasyl Turkije
Besilato Atracurio Chili, Portugal, Spanje
Faulcurium Egypte, Portugal
Gelolagar Argentinië
Laurak Spanje
Neucurium Turkije
Notrixum Turkije
Relactrac Colombia
Relatrac Mexico
Tracrium België, Chili, Colombia, Duitsland, Ecuador, Egypte, Frankrijk, Griekenland, Groot Britannië, Hongarije, Ierland, Iran, Italië, Luxemburg, Maleisië, Marokko, Mexico, Nederland, nieuw Zeeland, Oostenrijk, Polen, Portugal, Roemenië, Saudi-Arabië, Slovenië, Spanje, Turkije, USA, Verenigde Arabische Emiraten, Zwitserland
Tracumek Peru
Tracurix Argentinië
Tracuron Argentinië
Toedieningswijze   Toedieningswijze :Atracurium besylate     
Voie
Intraveneus
Intraveneus infuus
Continu infuus

  Mentions Légales