Poslední aktualizace :
27/11/2025
Kurarimimetikas   Atracurium besylate  
Įpurškimas
Tirpalų stabilumas Mišinių stabilumas Stabilumą lemiantys veiksniai Suderinamumas Leidimo būdai Bibliografija pdf
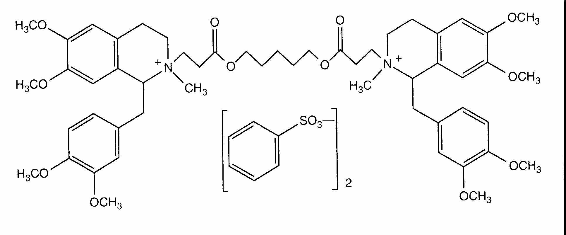
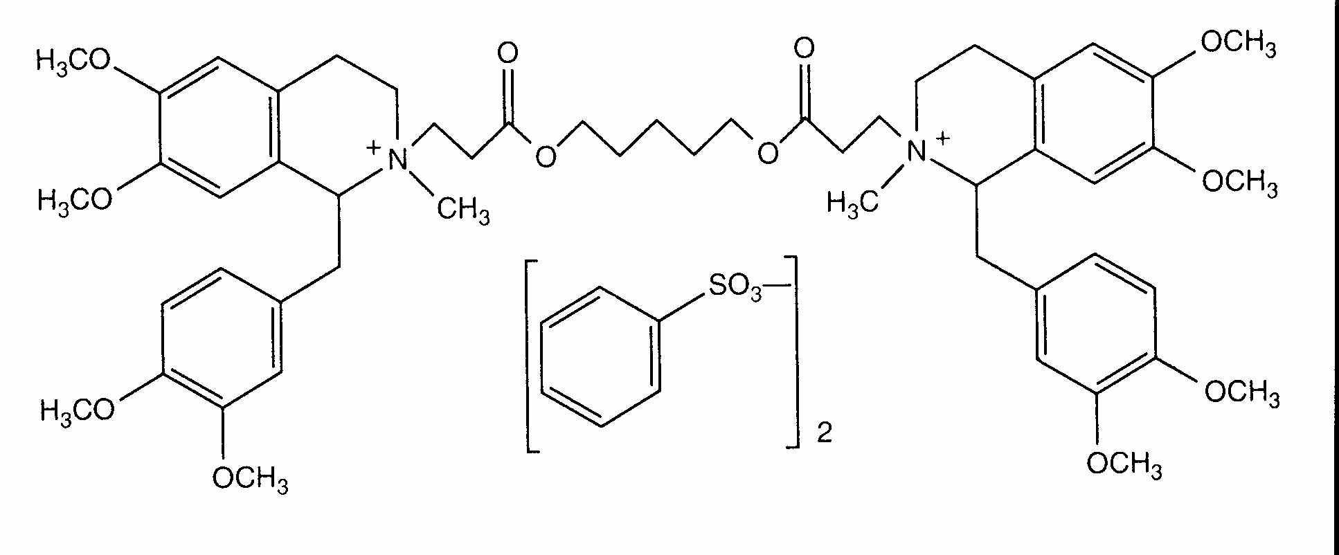
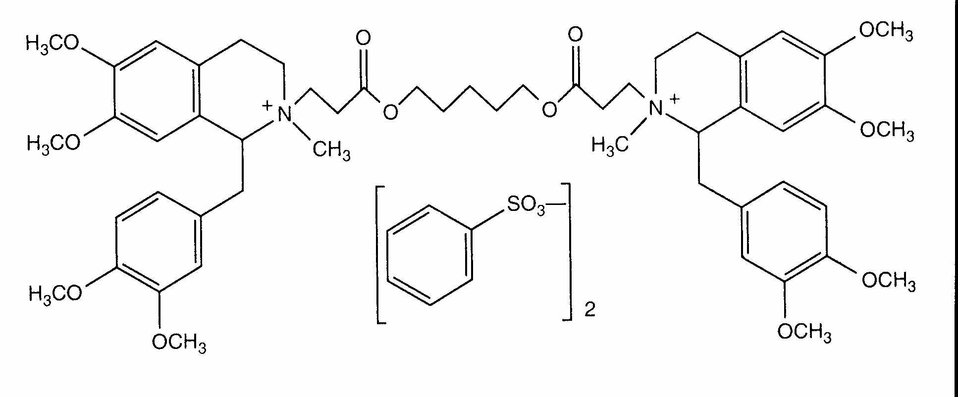
   Cheminė sandara  

Prekinis pavadinimas   Prekinis pavadinimas     

Trade names are indicative and excipients composition can be different depending on the country and manufacturers

Abbocurium Lenkija
Acurmil Italija
Ancour Iranas
Anecur Iranas
Atacur Saudo Arabija
Atrabesylate Egiptas
Atracurio Argentina, Brazilija, Ispanija
Atracurio besilato Čilė, Italija, Peru, Venesuela
Atracurium Argentina, Austrija, Didžioji Britanija, Egiptas, Iranas, Italija, Jungtiniai Arabų Emyratai, Malaizija, Saudo Arabija, Švedija, Vokietija
Atracurium besilat Austrija
Atracurium besilate Australija, Egiptas, Iranas, Jungtinės Amerikos Valstijos, Jungtiniai Arabų Emyratai, Kanada, Naujojoje Zelandijoje, Saudo Arabija
Atralex Malaizija
Atrasyl Turkija
Besilato Atracurio Čilė, Ispanija, Portugalija
Faulcurium Egiptas, Portugalija
Gelolagar Argentina
Laurak Ispanija
Neucurium Turkija
Notrixum Turkija
Relactrac Kolumbija
Relatrac Meksikas
Tracrium Airija, Austrija, Belgija, Čilė, Didžioji Britanija, Egiptas, Ekvadoras, Graikija, Iranas, Ispanija, Italija, Jungtinės Amerikos Valstijos, Jungtiniai Arabų Emyratai, Kolumbija, Lenkija, Liuksemburgas, Malaizija, Marokas, Meksikas, Naujojoje Zelandijoje, Olandija, Portugalija, Prancūzija, Rumunija, Saudo Arabija, Slovėnija, Šveicarija, Turkija, Vengrija, Vokietija
Tracumek Peru
Tracurix Argentina
Tracuron Argentina
Leidimo būdai   Leidimo būdai :Atracurium besylate     
Voie
Intraveninis
Intraveninė infuzija
Pastovi infuzija

  Mentions Légales