آخر تحديث :
27/11/2025
 أدوية علاجيه   Atracurium besylate  
حقن
الاستقرار في حلول استقرار مخاليط العوامل التي تؤثر على الاستقرار التوافق طريقة التعاطي مراجع pdf
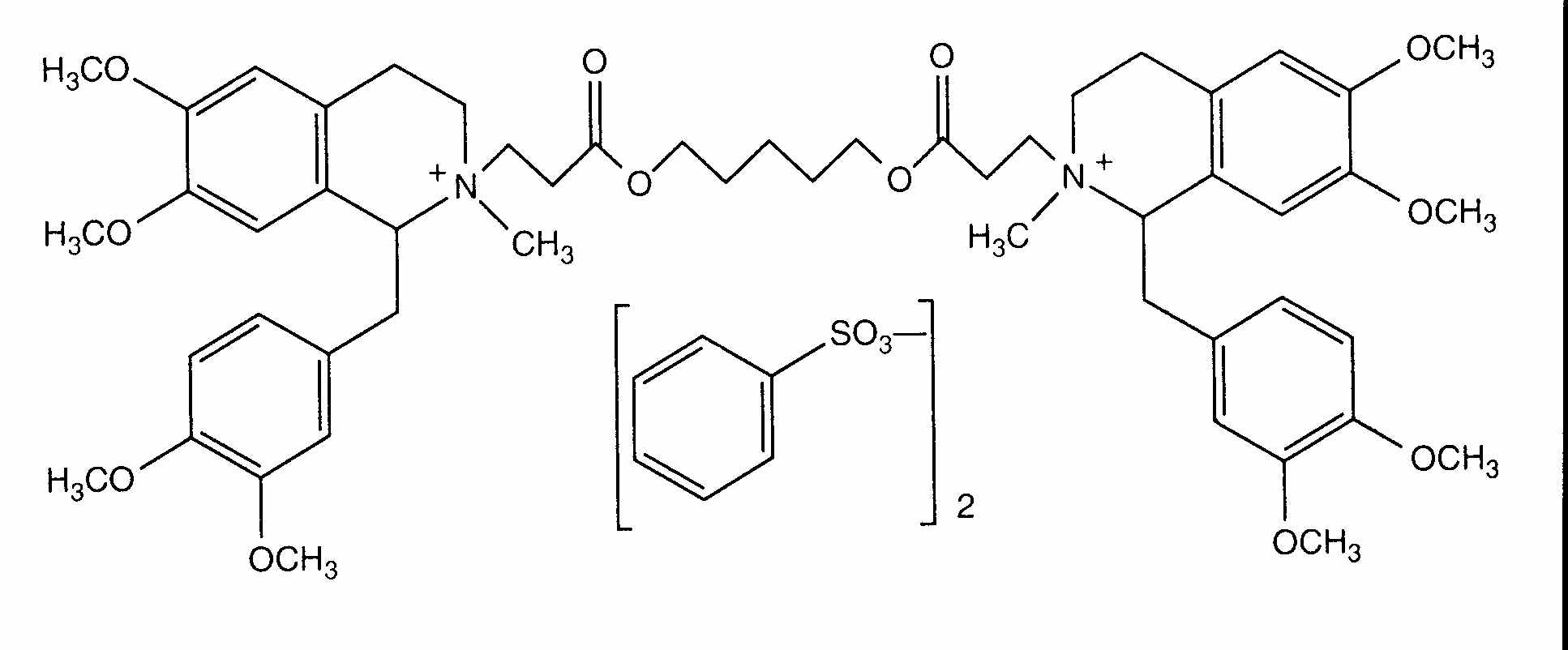
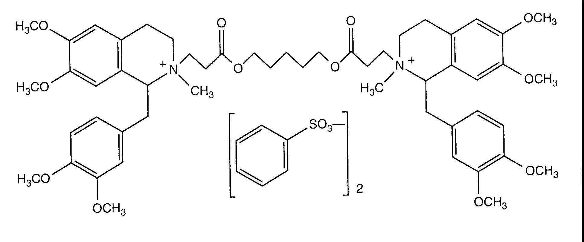
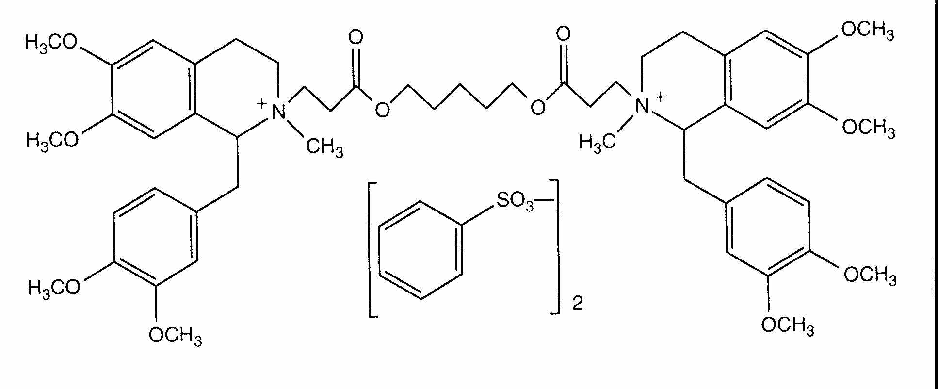
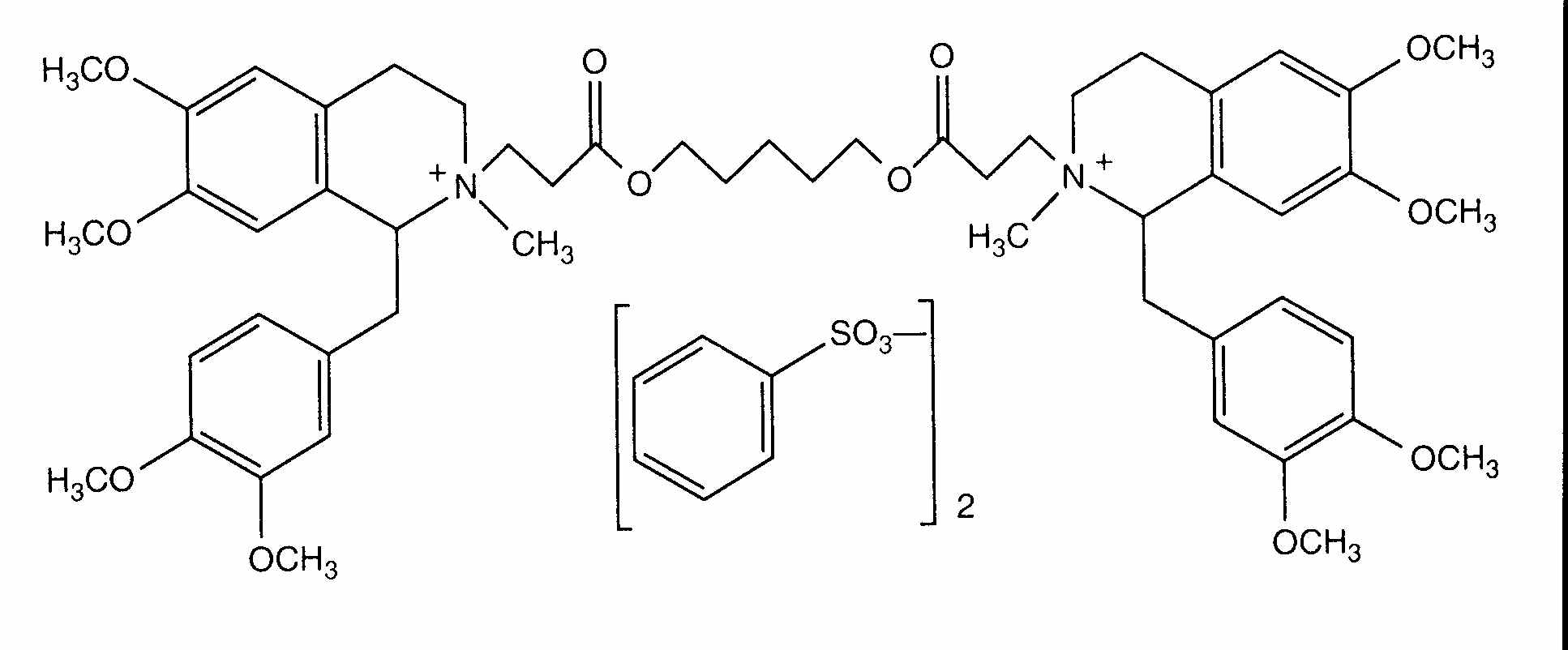
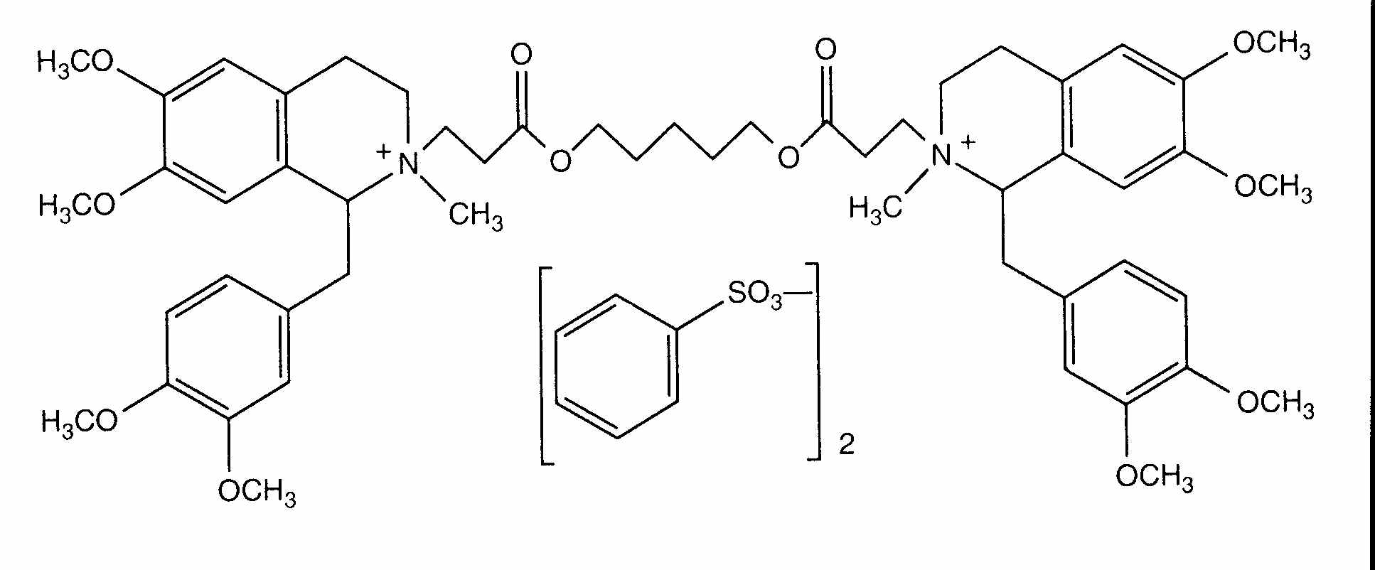
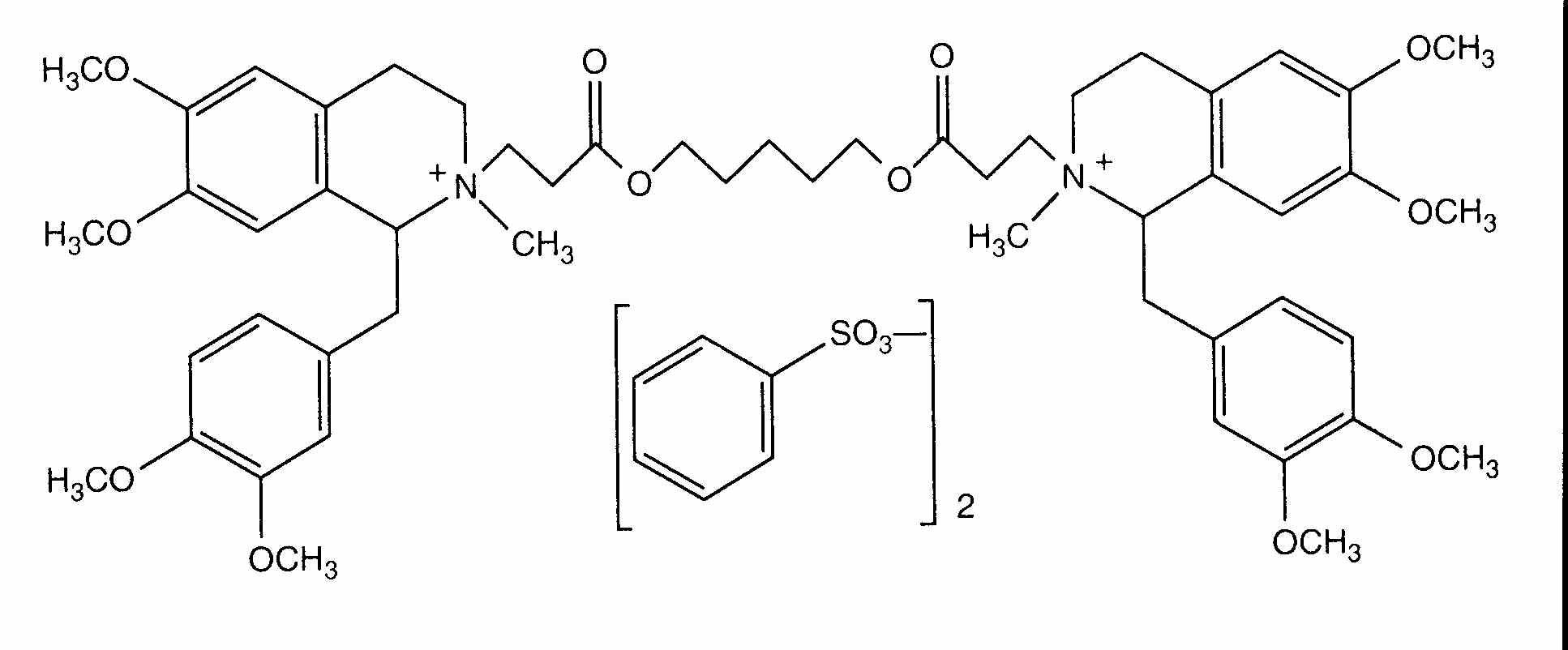
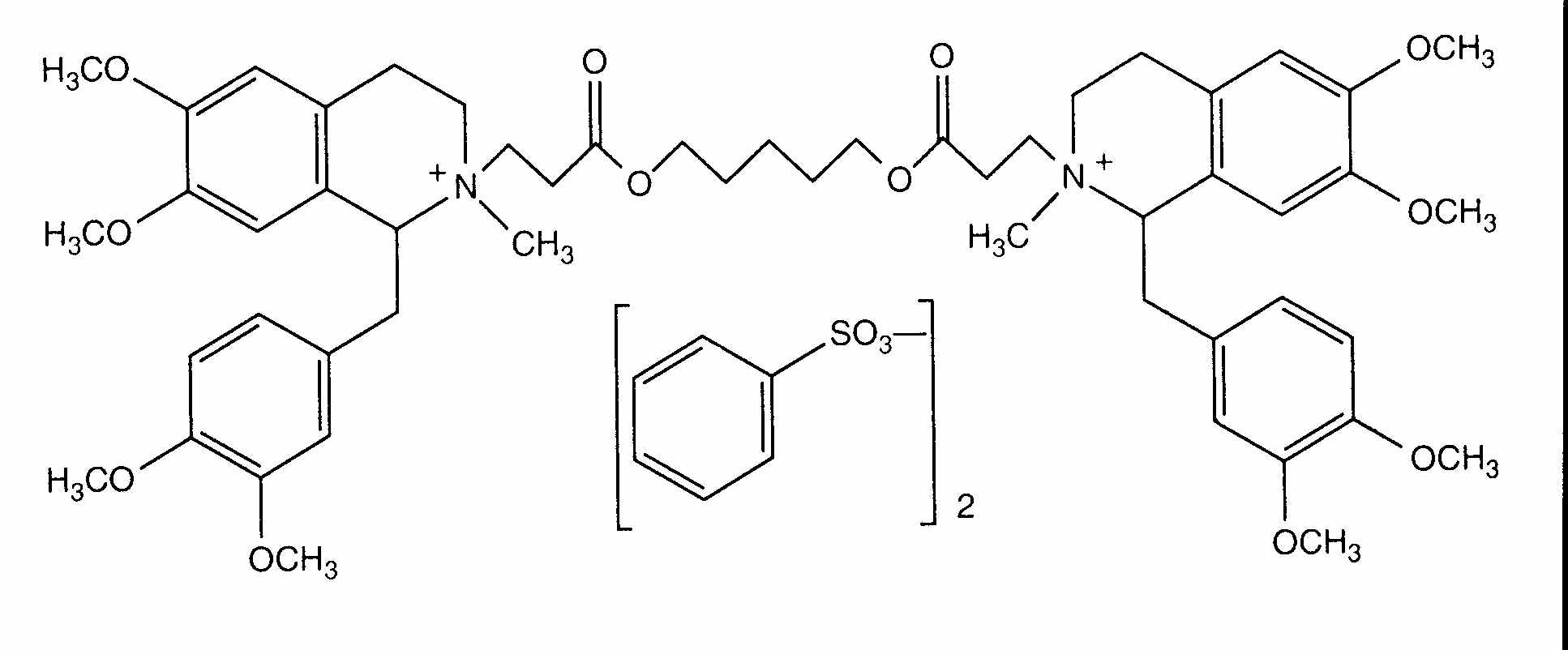
   التركيب الكيميائي  

حجز الاسم التجاري   حجز الاسم التجاري     

تحذير الأسماء التجاريه المختلفه قد تحتوي علي محتوي إضافات مختلفة حسب الدوله و المعمل

Abbocurium بولندا
Acurmil إيطاليا
Ancour إيران
Anecur إيران
Atacur العربية السعودية
Atrabesylate مصر
Atracurio إسبانيا, الأرجنتين, البرازيل
Atracurio besilato إيطاليا, بيرو, تشيلي, فنزويلا
Atracurium ألمانيا, إيران, إيطاليا, الأرجنتين, الإمارات العربية المتحدة, السويد, العربية السعودية, النمسا, بريطانيا العظمي, ماليزيا, مصر
Atracurium besilat النمسا
Atracurium besilate أستراليا, إيران, الإمارات العربية المتحدة, العربية السعودية, الولايات المتحدة, زيلاندا الجديدة, كندا, مصر
Atralex ماليزيا
Atrasyl تركيا
Besilato Atracurio إسبانيا, البرتغال, تشيلي
Faulcurium البرتغال, مصر
Gelolagar الأرجنتين
Laurak إسبانيا
Neucurium تركيا
Notrixum تركيا
Relactrac كولومبيا
Relatrac المكسيك
Tracrium ألمانيا, إسبانيا, إيران, إيطاليا, الإكوادور, الإمارات العربية المتحدة, البرتغال, العربية السعودية, المغرب, المكسيك, النمسا, الولايات المتحدة, ايرلندا, بريطانيا العظمي, بلجيكا, بولندا, تركيا, تشيلي, رومانيا, زيلاندا الجديدة, سلوفينيا, سويسرا, فرنسا, كولومبيا, لوكسمبورغ, ماليزيا, مصر, هنغاريا, هولندا, يونان
Tracumek بيرو
Tracurix الأرجنتين
Tracuron الأرجنتين
طريقة التعاطي   طريقة التعاطي :Atracurium besylate     
Voie
وريدي
الحقن الوريدي   المستمر
الحقن المستمر

  Mentions Légales