Τελευταία ενημέρωση :
27/11/2025
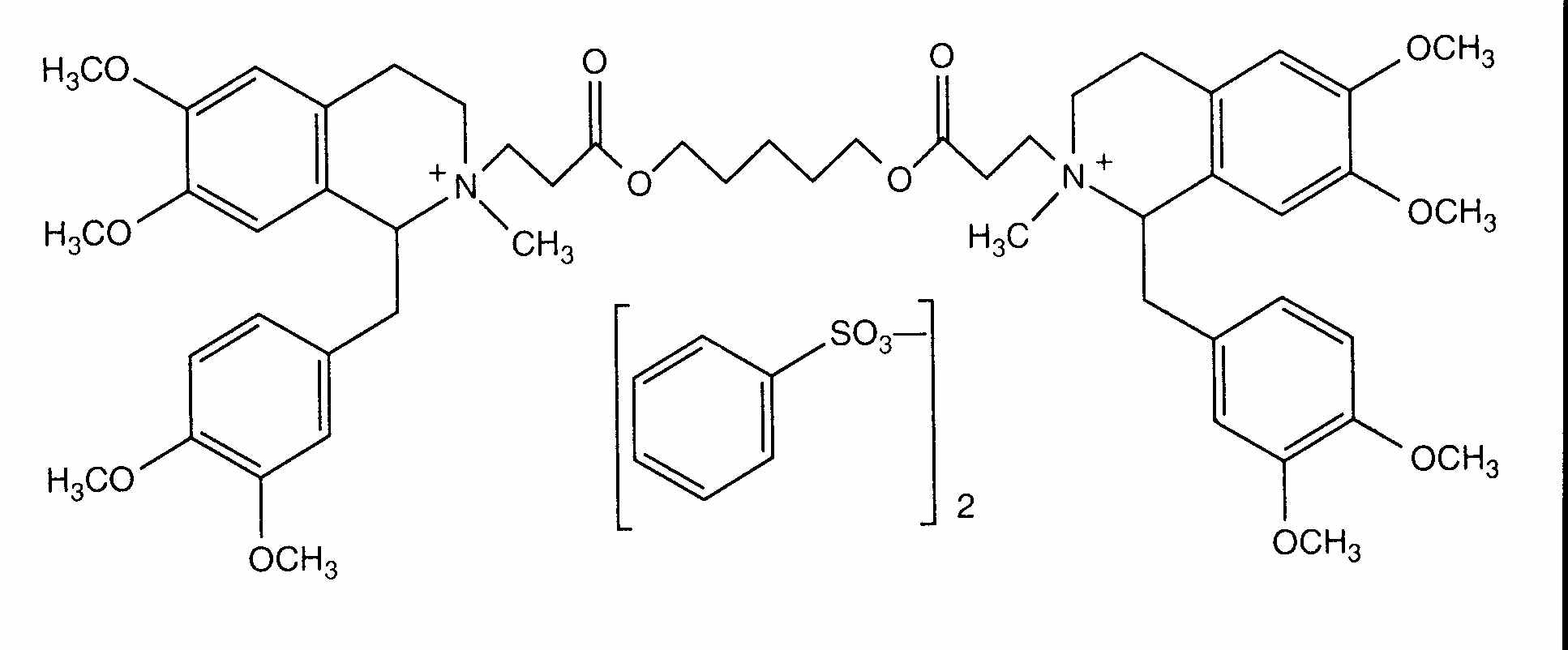
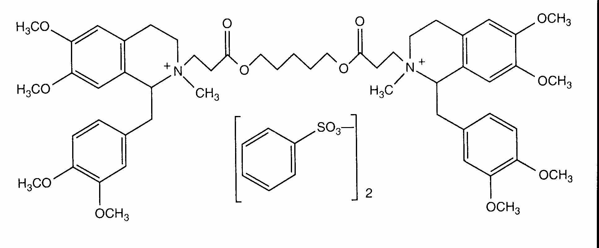
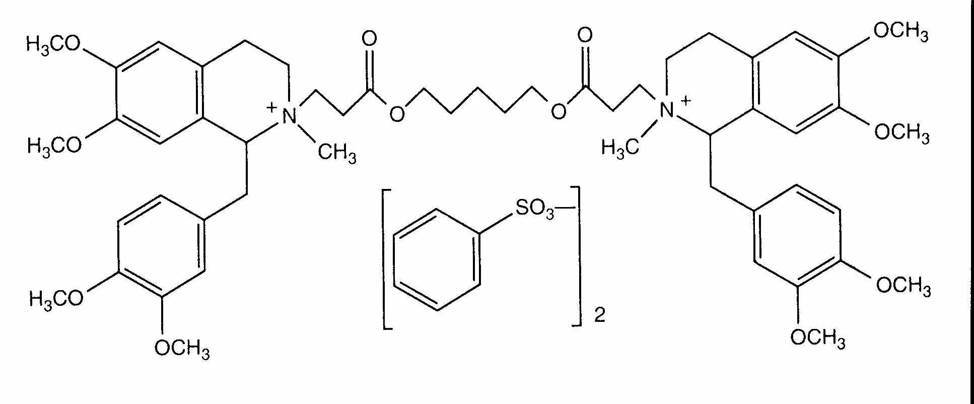
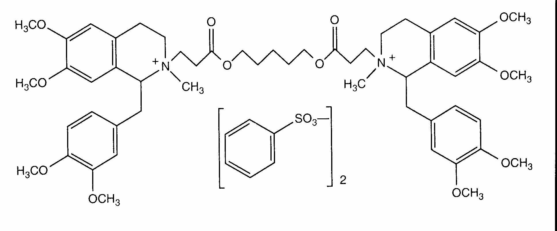
Κουραριομιμητικό   Atracurium besylate  
Ενέσιμο
Σταθερότητα διαλυμάτων Σταθερότητα σε μίγματα Παράγοντας που επηρεάζει τη σταθερότητα Συμβατότητες Τρόπος χορήγησης Βιβλιογραφία pdf
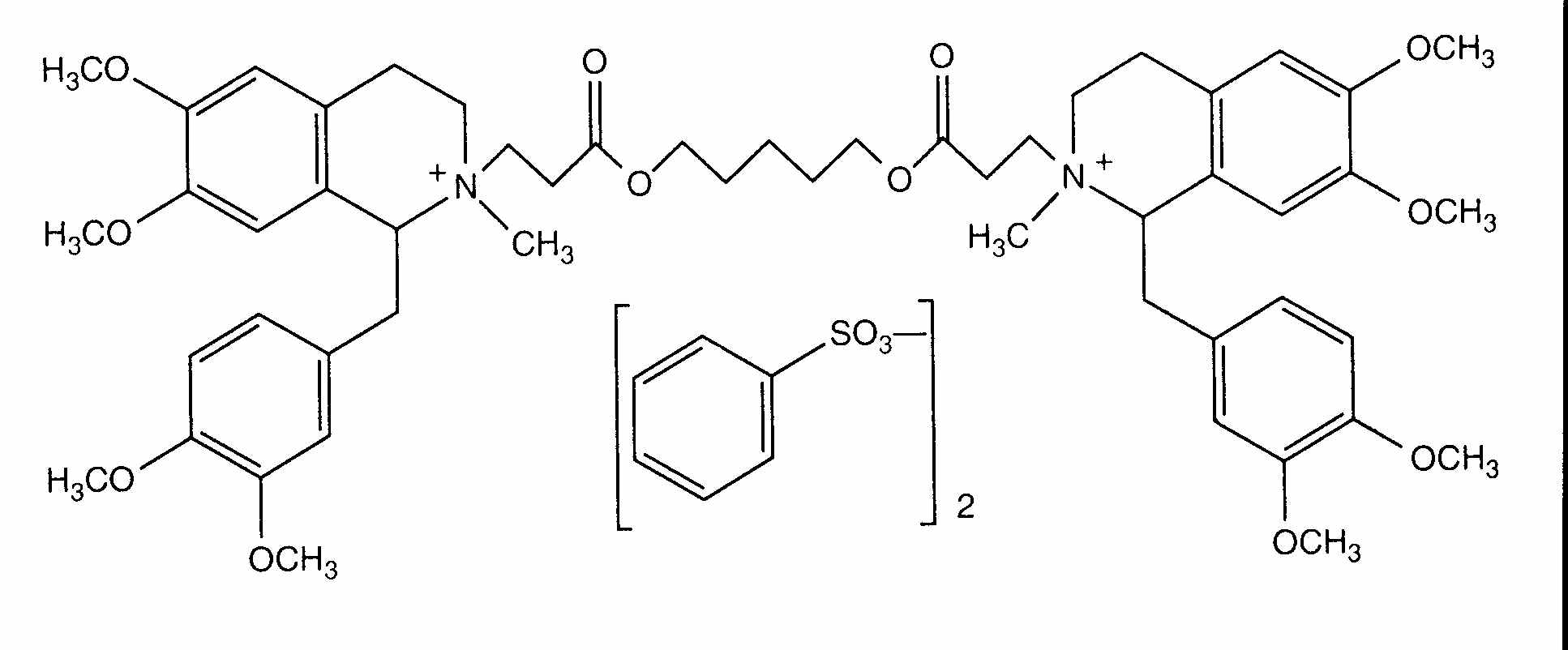
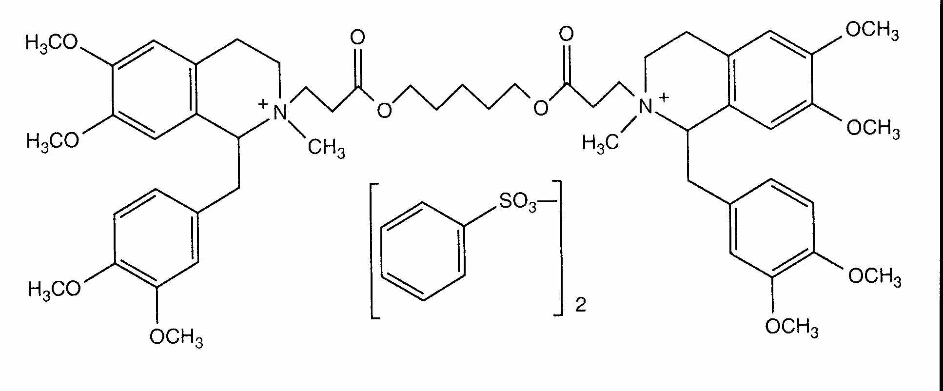
   χημική δομή  

Εμπορική ονομασία   Εμπορική ονομασία     

Οι εμπορικές ονομασίες είναι ενδεικτικές και η σύνθεση των εκδόχων μπορεί να διαφέρει ανάλογα με τη χώρα και τα εργαστήρια

Abbocurium Πολωνία
Acurmil Ιταλία
Ancour Ιράν
Anecur Ιράν
Atacur Σαουδική Αραβία
Atrabesylate Αίγυπτος
Atracurio Αργεντινή, Βραζιλία, Ισπανία
Atracurio besilato Βενεζουέλα, Ιταλία, Περού, Χιλή
Atracurium Yhdistyneet arabiemiirikunnat, Αίγυπτος, Αργεντινή, Αυστρία, Γερμανία, Ιράν, Ιταλία, Μαλαισία, Μεγάλη Βρετανία, Σαουδική Αραβία, Σουηδία
Atracurium besilat Αυστρία
Atracurium besilate Yhdistyneet arabiemiirikunnat, Αίγυπτος, Αυστραλία, Η.Π.Α., Ιράν, Καναδάς, νέα Ζηλανδία, Σαουδική Αραβία
Atralex Μαλαισία
Atrasyl Τουρκία
Besilato Atracurio Ισπανία, Πορτογαλία, Χιλή
Faulcurium Αίγυπτος, Πορτογαλία
Gelolagar Αργεντινή
Laurak Ισπανία
Neucurium Τουρκία
Notrixum Τουρκία
Relactrac Κολομβία
Relatrac Μεξικό
Tracrium Yhdistyneet arabiemiirikunnat, Αίγυπτος, Αυστρία, Βέλγιο, Γαλλία, Γερμανία, Εκουαδόρ, Ελβετία, Ελλάδα, Η.Π.Α., Ιράν, Ιρλανδία, Ισπανία, Ιταλία, Κολομβία, Λουξεμβούργο, Μαλαισία, Μαρόκο, Μεγάλη Βρετανία, Μεξικό, νέα Ζηλανδία, Ολλανδία, Ουγγαρία, Πολωνία, Πορτογαλία, Ρουμανία, Σαουδική Αραβία, Σλοβενία, Τουρκία, Χιλή
Tracumek Περού
Tracurix Αργεντινή
Tracuron Αργεντινή
Τρόπος χορήγησης   Τρόπος χορήγησης :Atracurium besylate     
Voie
Ενδοφλέβια
Ενδοφλέβια έκχυση
Συνεχής έκχυση υγρού

  Mentions Légales