Ostatnia aktualizacja :
18/03/2026
przeciw otępieniu   Pimavanserin  
Roztwór doustny
Stabilność preparatów farmaceutycznych Trwałość w mieszaninie Czynnik wpływający na trwałość Zgodność Bibliografia pdf
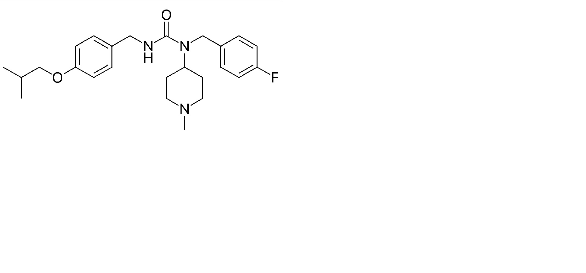
   Struktura chemiczna  

Roztwór doustny

Czynnik wpływający na trwałość   Roztwór doustny   Czynnik wpływający na trwałość : Pimavanserin        
Brak danych

  Mentions Légales