Last update :
18/03/2026
Antidementia   Pimavanserin  
Oral solution
Stability of pharmaceutical preparations Stability of mixtures Factors which affect stability Compatibility References pdf
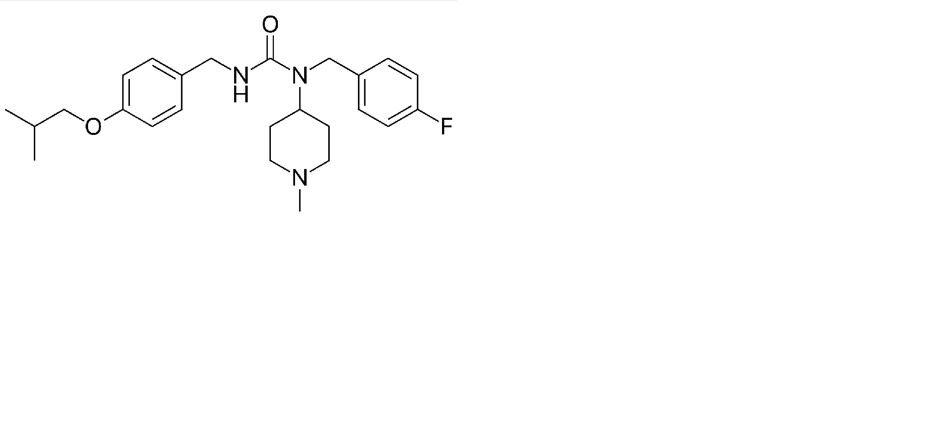
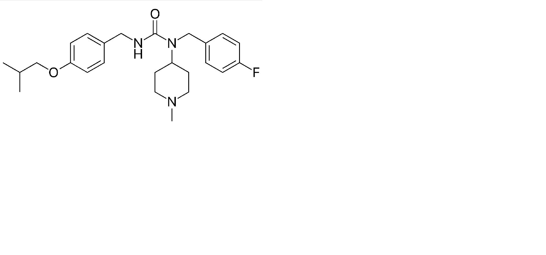
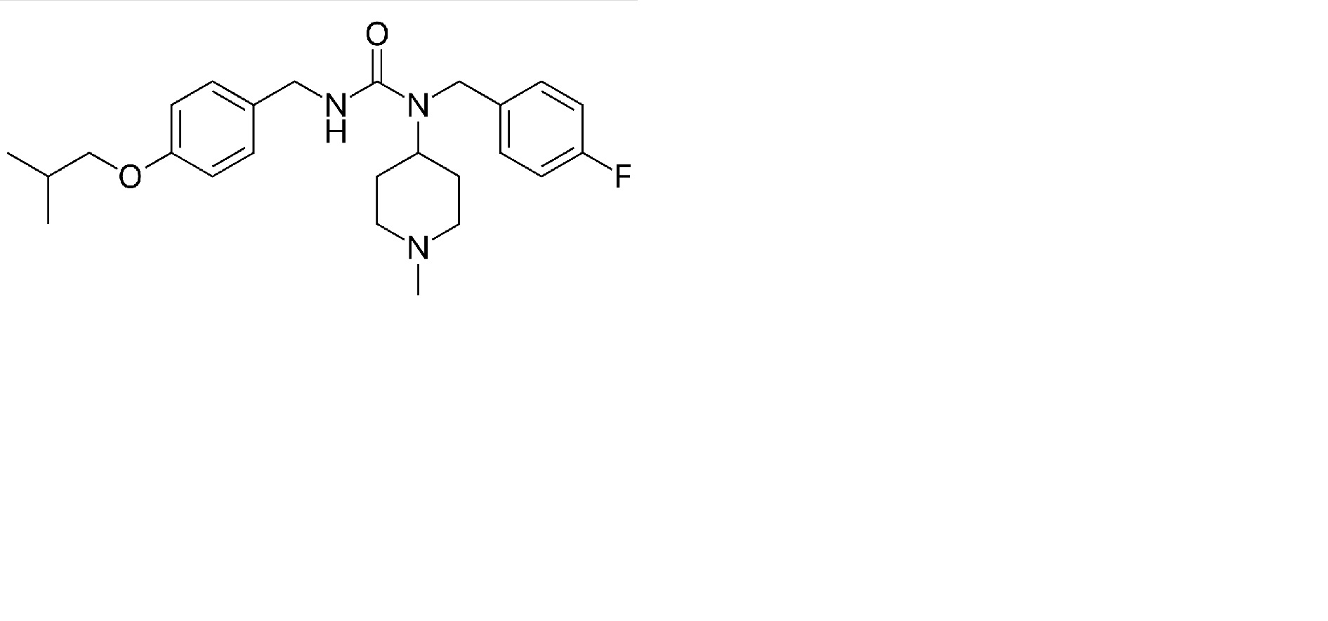
   Chemical structure  

Oral solution

Factors which affect stability   Oral solution   Factors which affect stability : Pimavanserin        
No data

  Mentions Légales