Zadnji put ažurirano :
18/03/2026
anti demencija   Pimavanserin  
oralna otopina
Stabilnost farmaceutskih pripravaka Stabilnost mješavine Stabilizacijski faktor Kompatibilnosti Bibliografija pdf
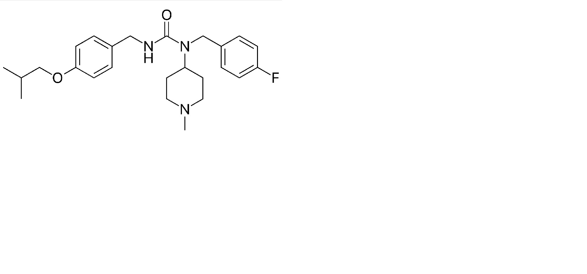
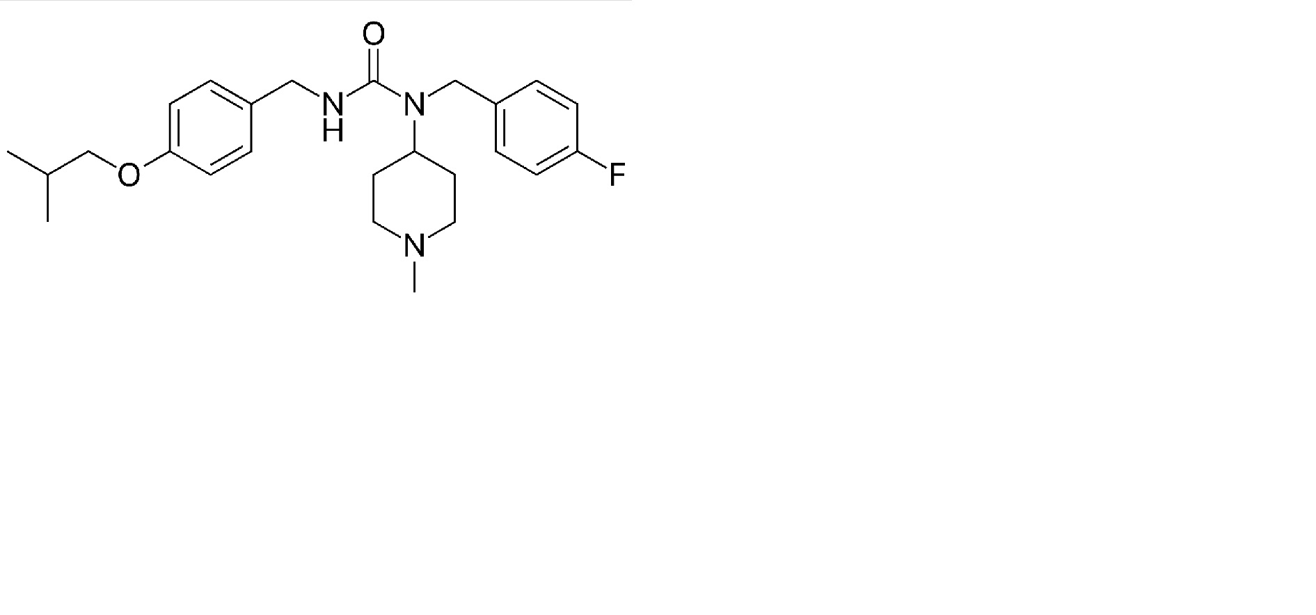
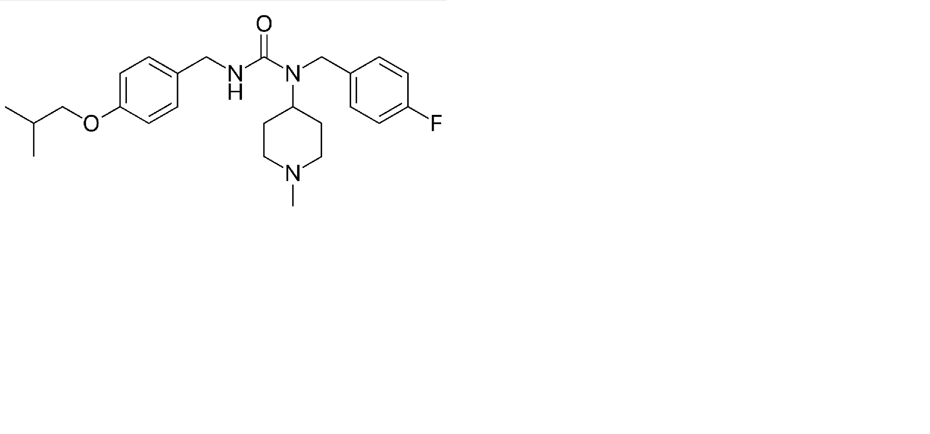
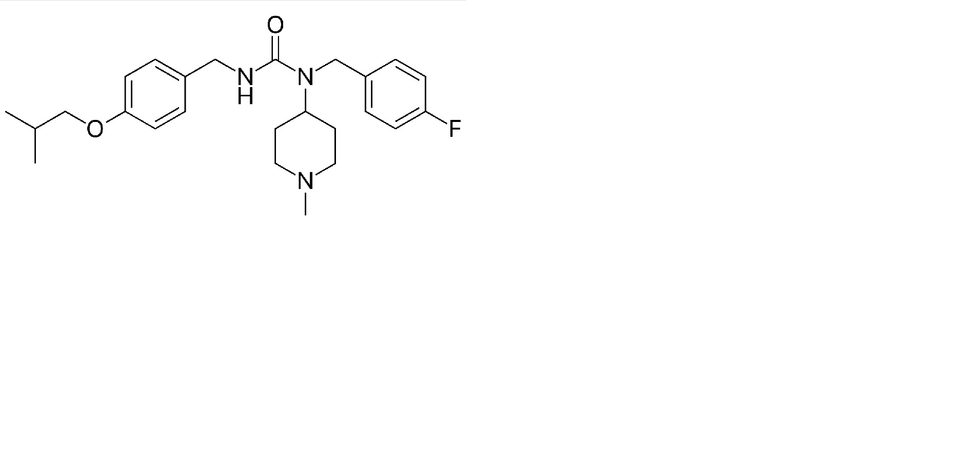
   Kemijska struktura  

oralna otopina

Stabilizacijski faktor   oralna otopina     Stabilizacijski faktor : Pimavanserin        
bez podataka

  Mentions Légales