Utolsó frissítés :
18/03/2026
anti demencia   Pimavanserin  
belsőleges oldat
Stabilitása gyógyszerészeti készítmények A keverékek stabilitása Stabilitást befolyásoló tényezők Kompatibilitás Irodalom pdf
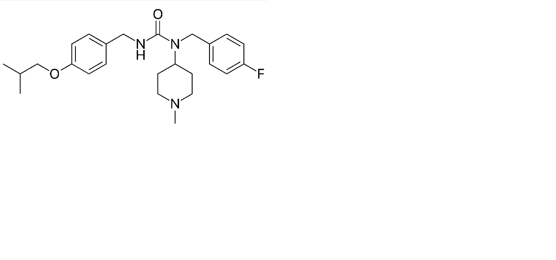
   Kémiai szerkezet   

belsőleges oldat

Stabilitást befolyásoló tényezők   belsőleges oldat   Stabilitást befolyásoló tényezők : Pimavanserin        
Hiányzó adat

  Mentions Légales