Senaste uppdateringen :
18/03/2026
Infostab
Förteckning över substanser
Sammanfattande listor
Sök efter kompatibilitet
Kompatibilitetstabell
Hänvisningar
forskargrupper
valistab
Posters
Anslutningar
sponsorer
Författare
Användaranvisning
Nyhetsbladet
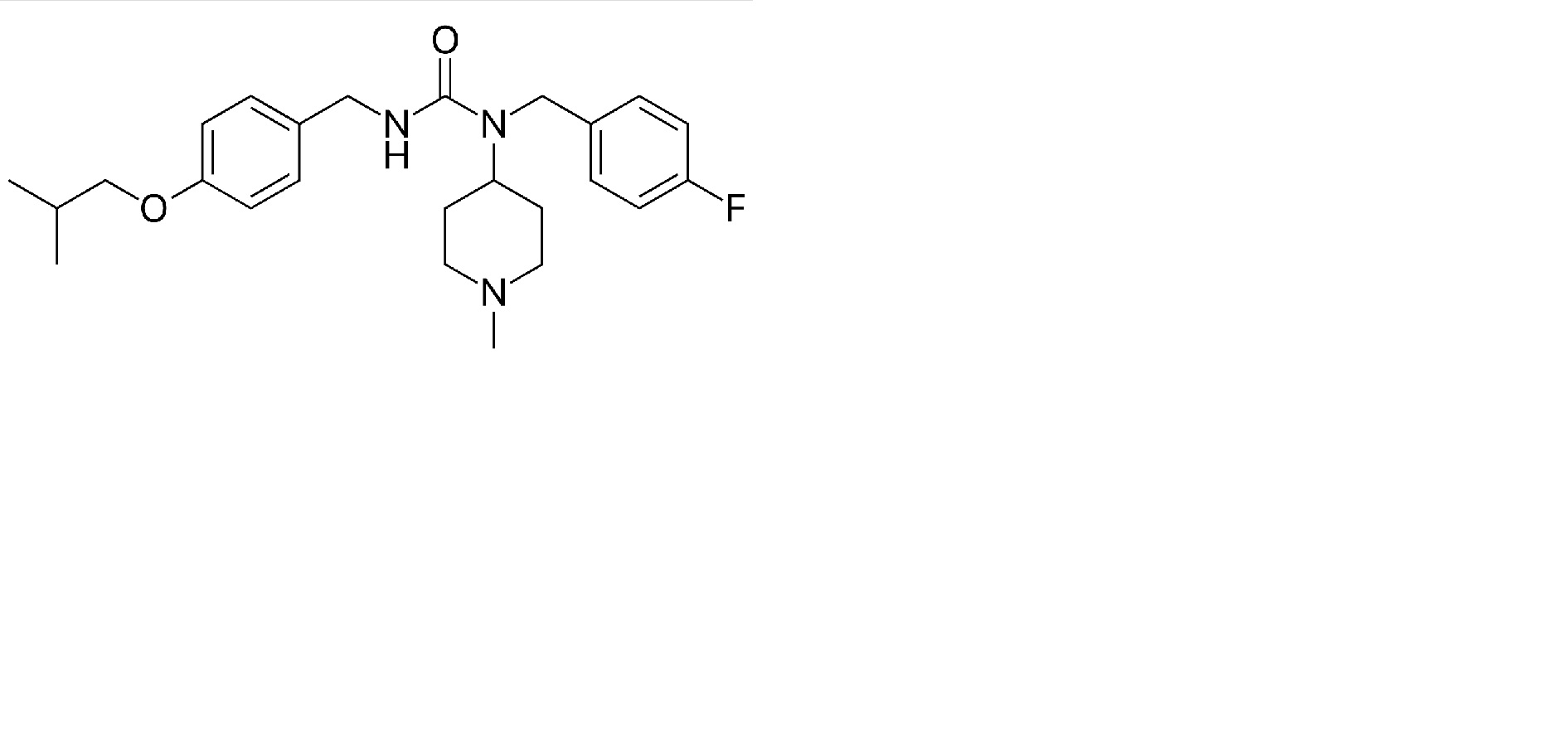
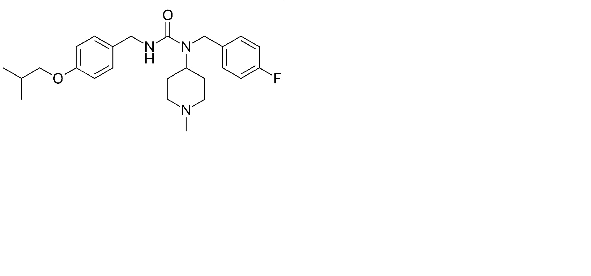
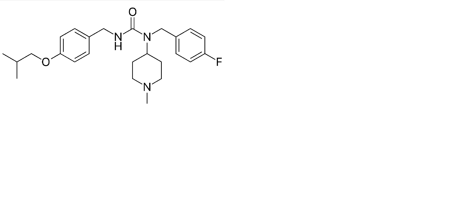
Pimavanserin
Molekylstruktur
Hänvisningar : Pimavanserin
Typ
Publikation
4484
tidningen
Bokser A D, Holmes Adegbenle Y, Stoisavljevic V, Norton J C.
In Vitro Stability and Recovery Studies of Pimavanserin in Water and in Different Vehicles Orally Administered.
Drugs R D 2022 ;22, 95–104
Mentions Légales