Последно актуализиране :
18/03/2026
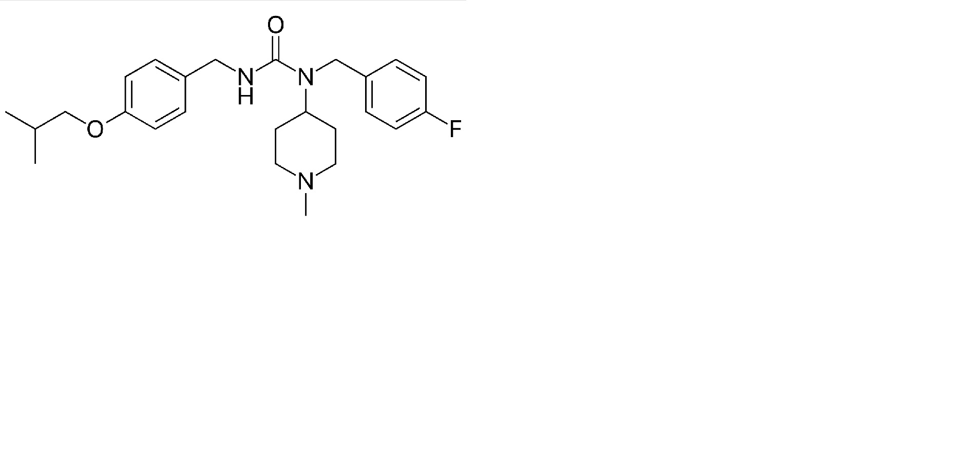
анти деменция   Pimavanserin  
Орален разтвор
Стабилност на лекарствени препарати Стабилност на смеси Фактори, повлияващи стабилността Съвместимост Библиография Pdf
   Химична структура  

Орален разтвор
Библиография   Орален разтвор   Библиография : Pimavanserin  
Вид Публикация
4484 Списание Bokser A D, Holmes Adegbenle Y, Stoisavljevic V, Norton J C.
In Vitro Stability and Recovery Studies of Pimavanserin in Water and in Different Vehicles Orally Administered.
Drugs R D 2022 ;22, 95–104

  Mentions Légales