最新更新 :
18/03/2026
Infostab
薬剤一覧
まとめ一覧
互換性の検索
Yサイト対応表
引用文献
研究チーム
valistab
ポスター
接続
スポンサー
作成者
ユーザーガイド
ニュースレター
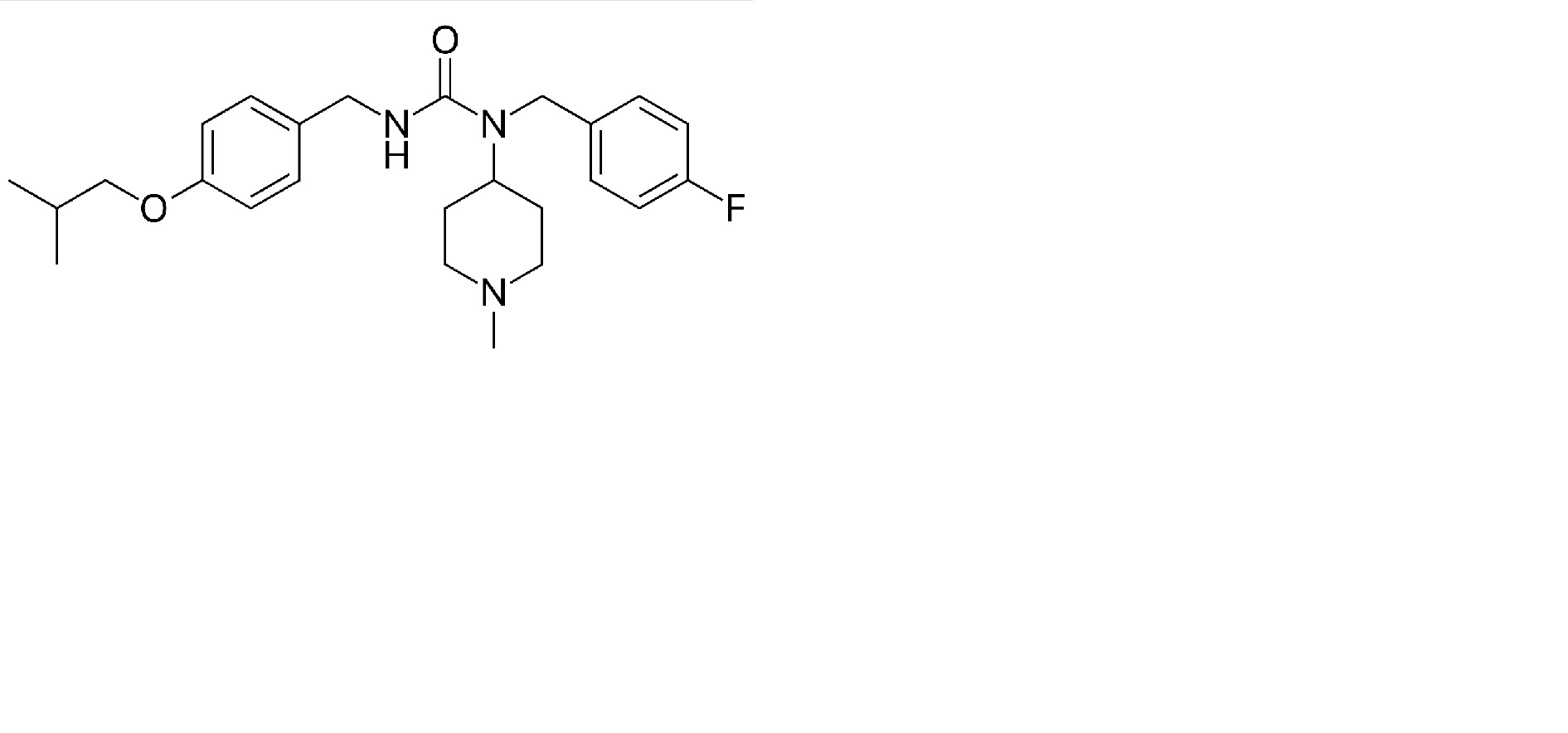
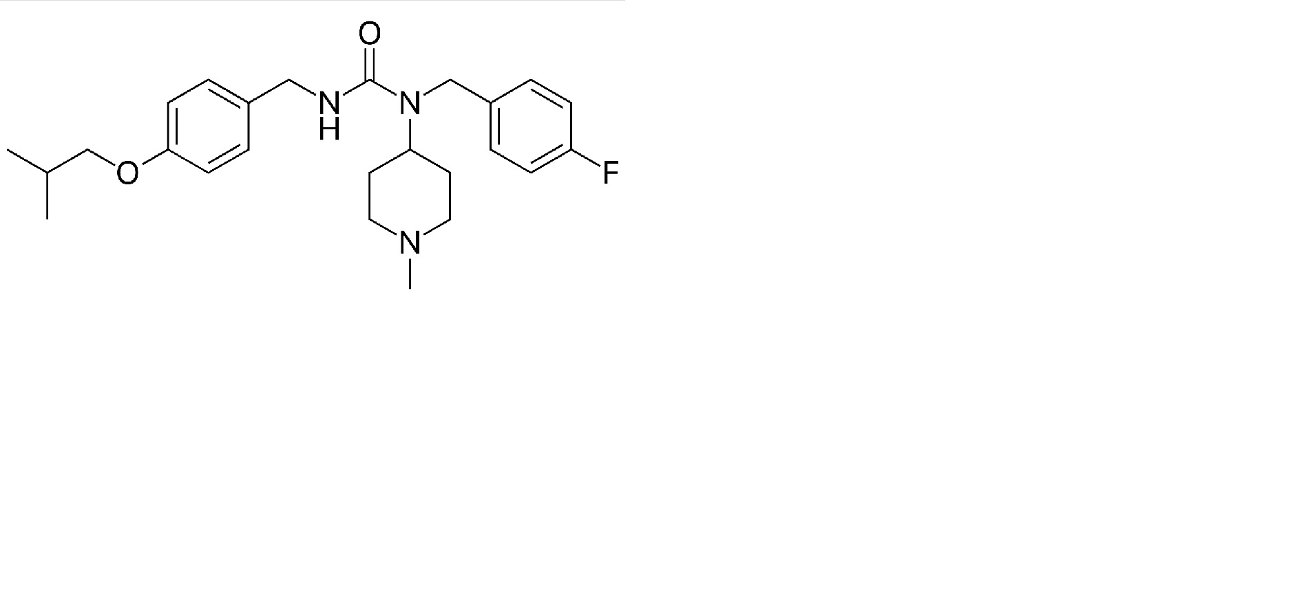
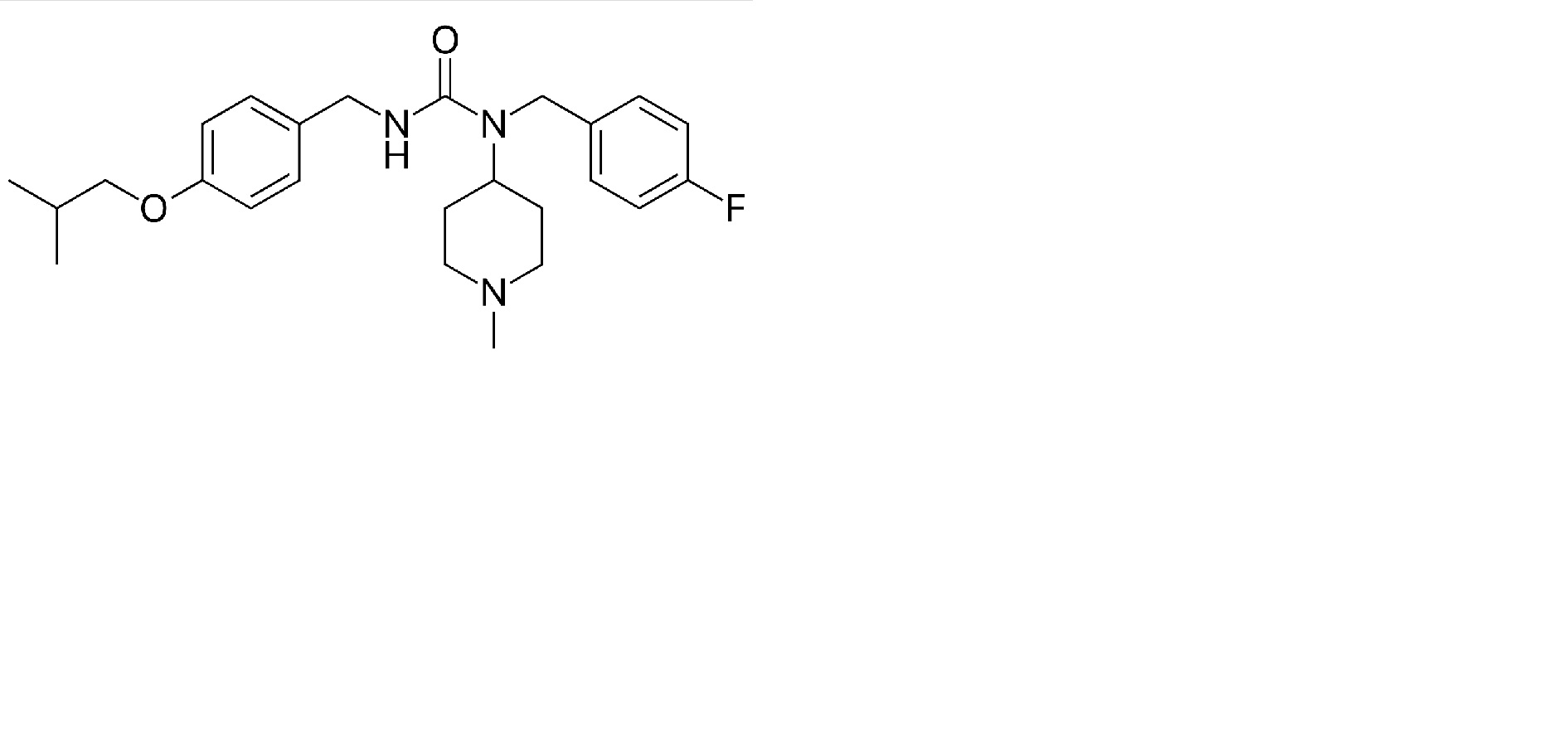
Pimavanserin
化学構造
引用文献 : Pimavanserin
形式
出版物
4484
雑誌
Bokser A D, Holmes Adegbenle Y, Stoisavljevic V, Norton J C.
In Vitro Stability and Recovery Studies of Pimavanserin in Water and in Different Vehicles Orally Administered.
Drugs R D 2022 ;22, 95–104
Mentions Légales