Viimeisin päivitys :
18/03/2026
Infostab
Luettelo yhdisteistä
Yhteenveto-luettelot
Etsi yhteensopivuutta
Y-sivuston yhteensopivuustaulukko
Viitteet
tutkimus Joukkueet
valistab
ilmoitus
Liitännät
sponsorit
Tekijät
Käyttöohje
Uutiskirje
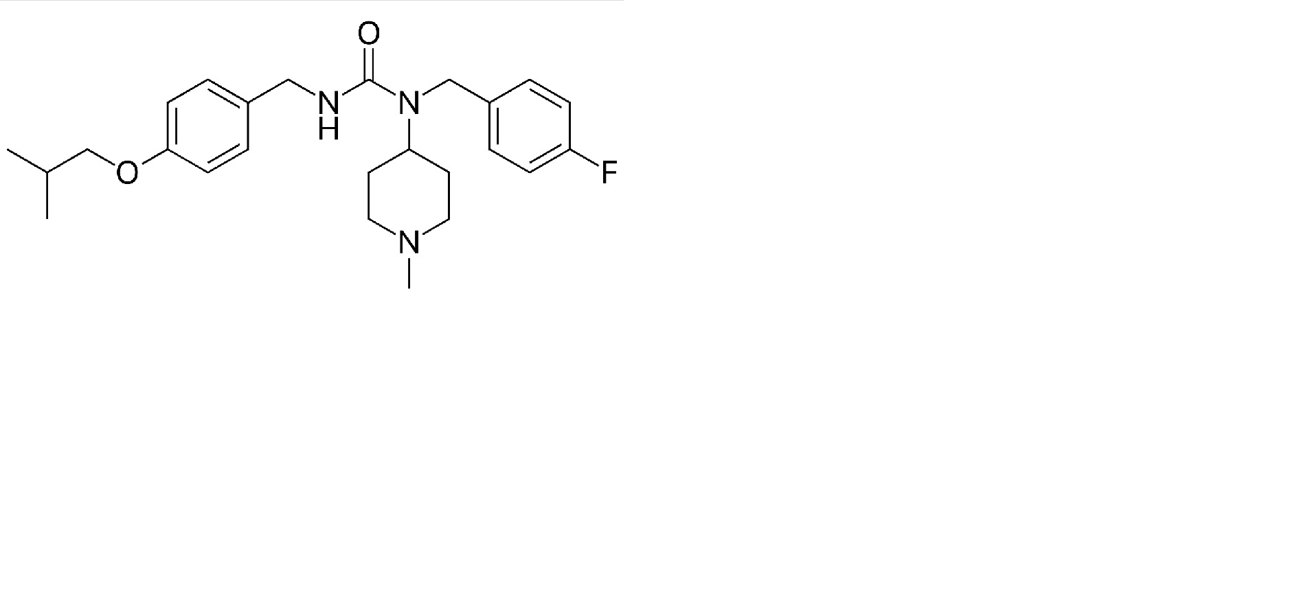
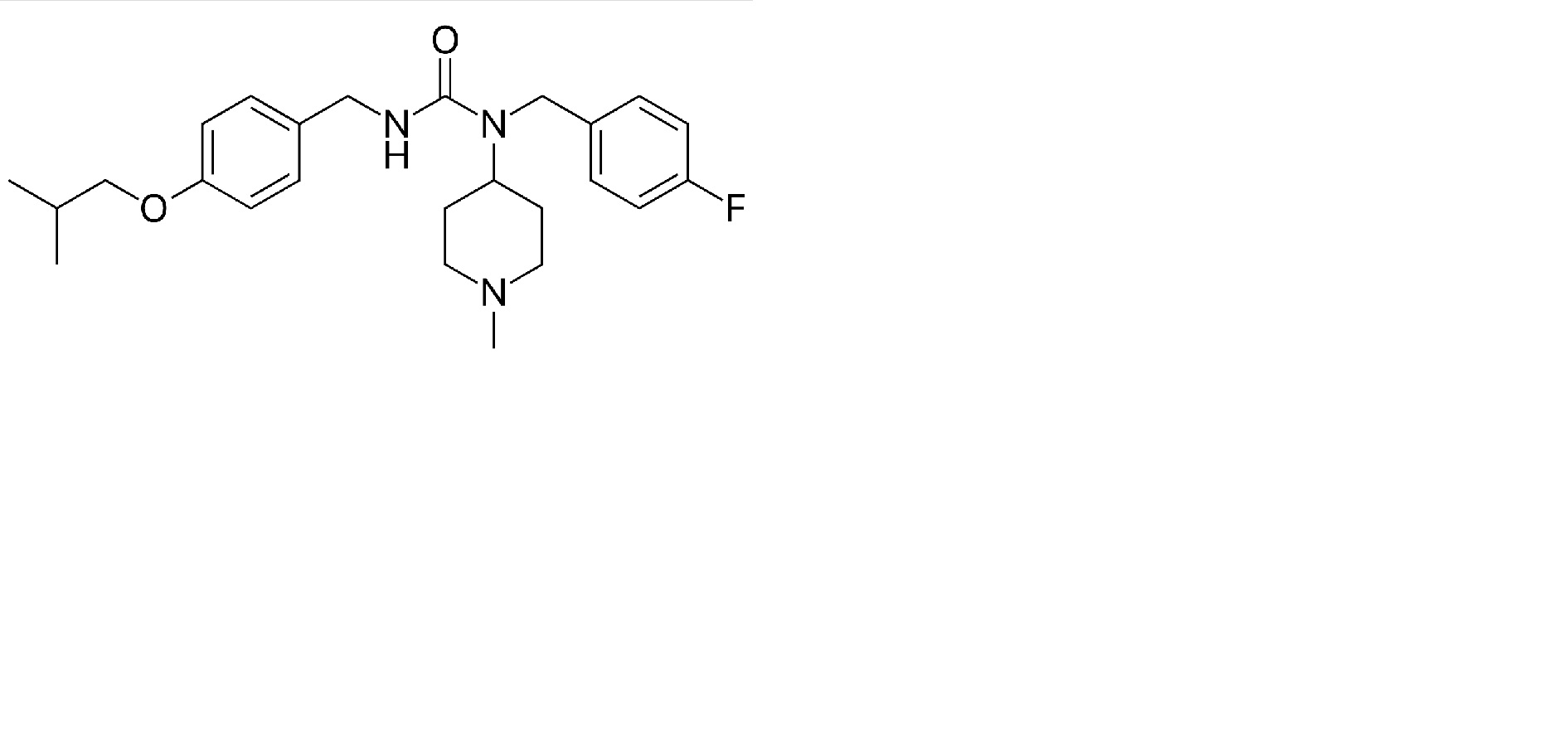
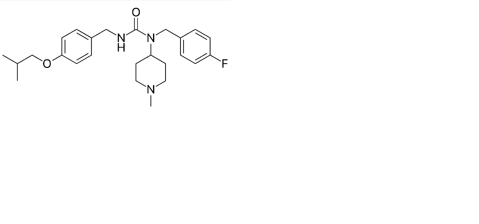
Pimavanserin
Kemiallinen rakenne
Viitteet : Pimavanserin
tyyppi
julkaisu
4484
Lehti
Bokser A D, Holmes Adegbenle Y, Stoisavljevic V, Norton J C.
In Vitro Stability and Recovery Studies of Pimavanserin in Water and in Different Vehicles Orally Administered.
Drugs R D 2022 ;22, 95–104
Mentions Légales