最新更新 :
31/03/2026
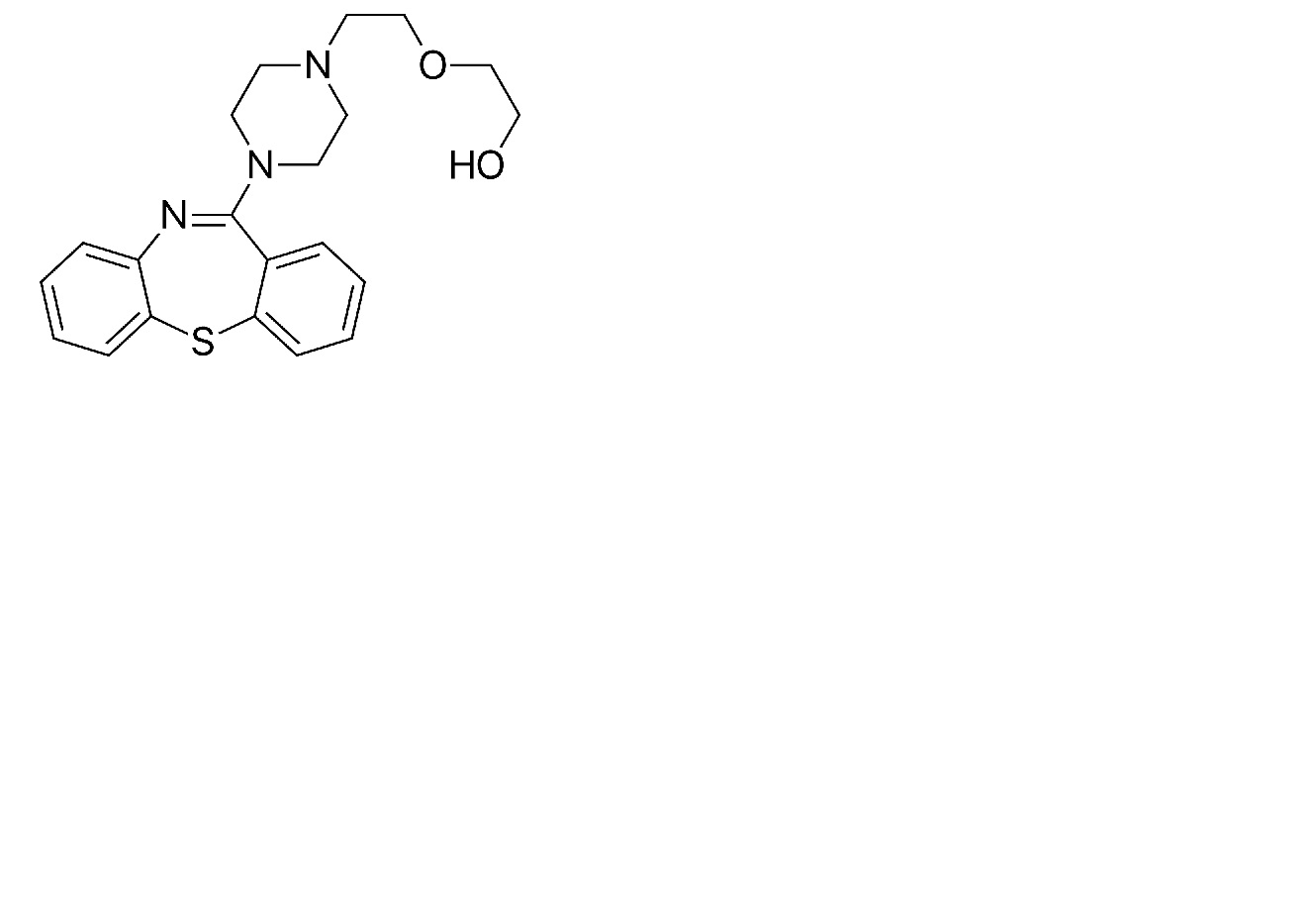
其它   Quetiapine fumarate  
口服剂
制剂的稳定性 混合物稳定性 影响稳定性的因素 兼容性 引用文献 PDF
   化学式  

口服剂
引用文献   口服剂   引用文献 : Quetiapine fumarate  
种类 出版物
4609 文献 Tran J, Gervase M.A, Evans J, Deville R, Dong X.
The stability of quetiapine oral suspension compounded from commercially available tablets.
PlosOne 2021 ; 16(8): e0255963.

  Mentions Légales