Poslední aktualizace :
31/03/2026
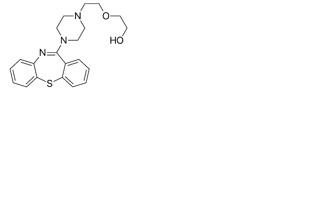
Různé   Quetiapine fumarate  
Perorální roztok
Stabilita farmaceutických přípravků Stabilita směsí Faktory ovlivňující stabilitu Kompatibilita Odkazy pdf
   Chemický vzorec  

Perorální roztok
Odkazy   Perorální roztok   Odkazy : Quetiapine fumarate  
typ uveřejnění
4609 noviny Tran J, Gervase M.A, Evans J, Deville R, Dong X.
The stability of quetiapine oral suspension compounded from commercially available tablets.
PlosOne 2021 ; 16(8): e0255963.

  Mentions Légales