Последно актуализиране :
31/03/2026
Infostab
Списък с лекарства
Съдържание
Потърсете съвместимост
Таблица за съвместимост на Y-сайта
Библиография
Изследователски екипи
valistab
Плакат
звена
спонсори
Автори
Ръководство за потребителя
Бюлетин
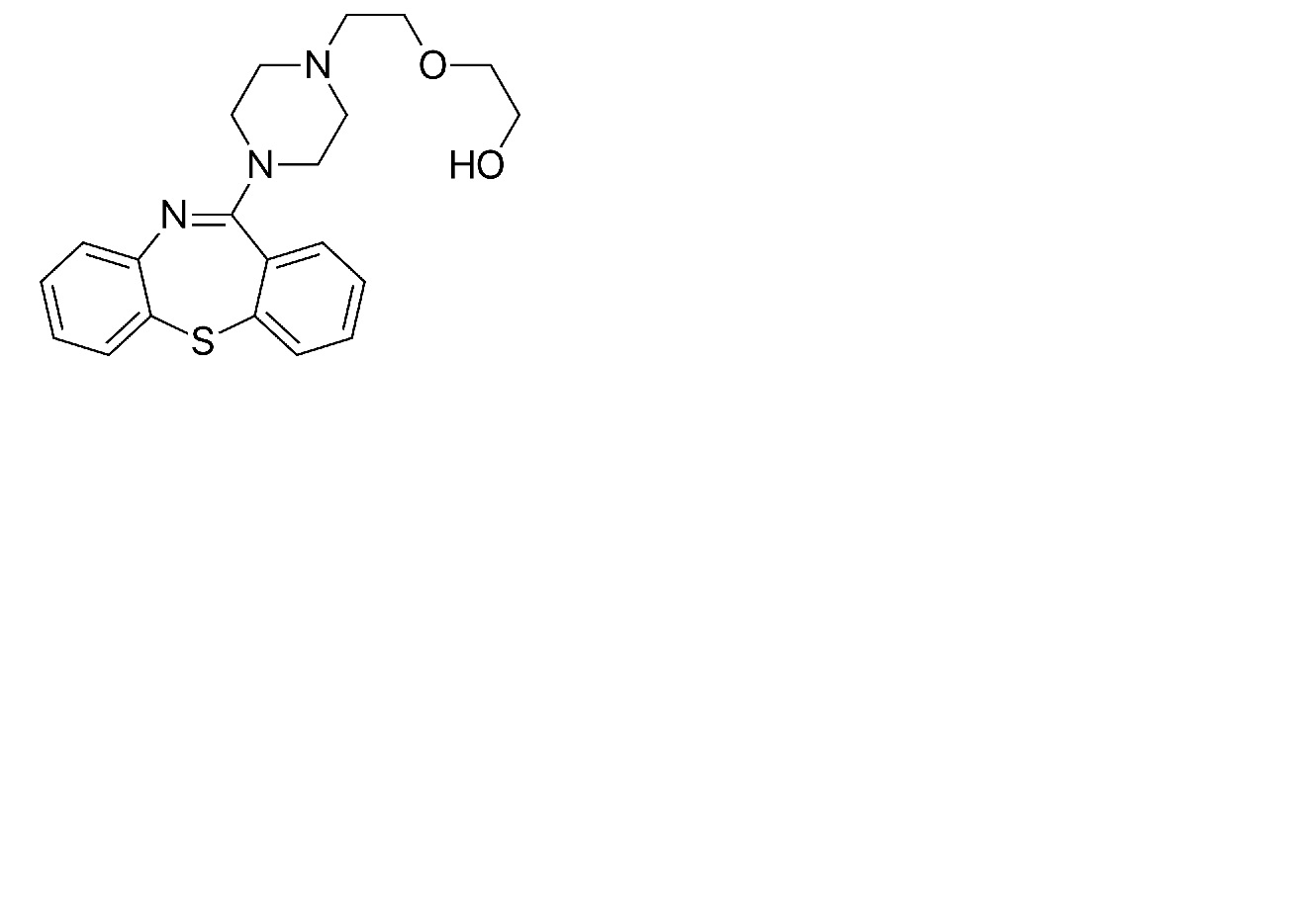
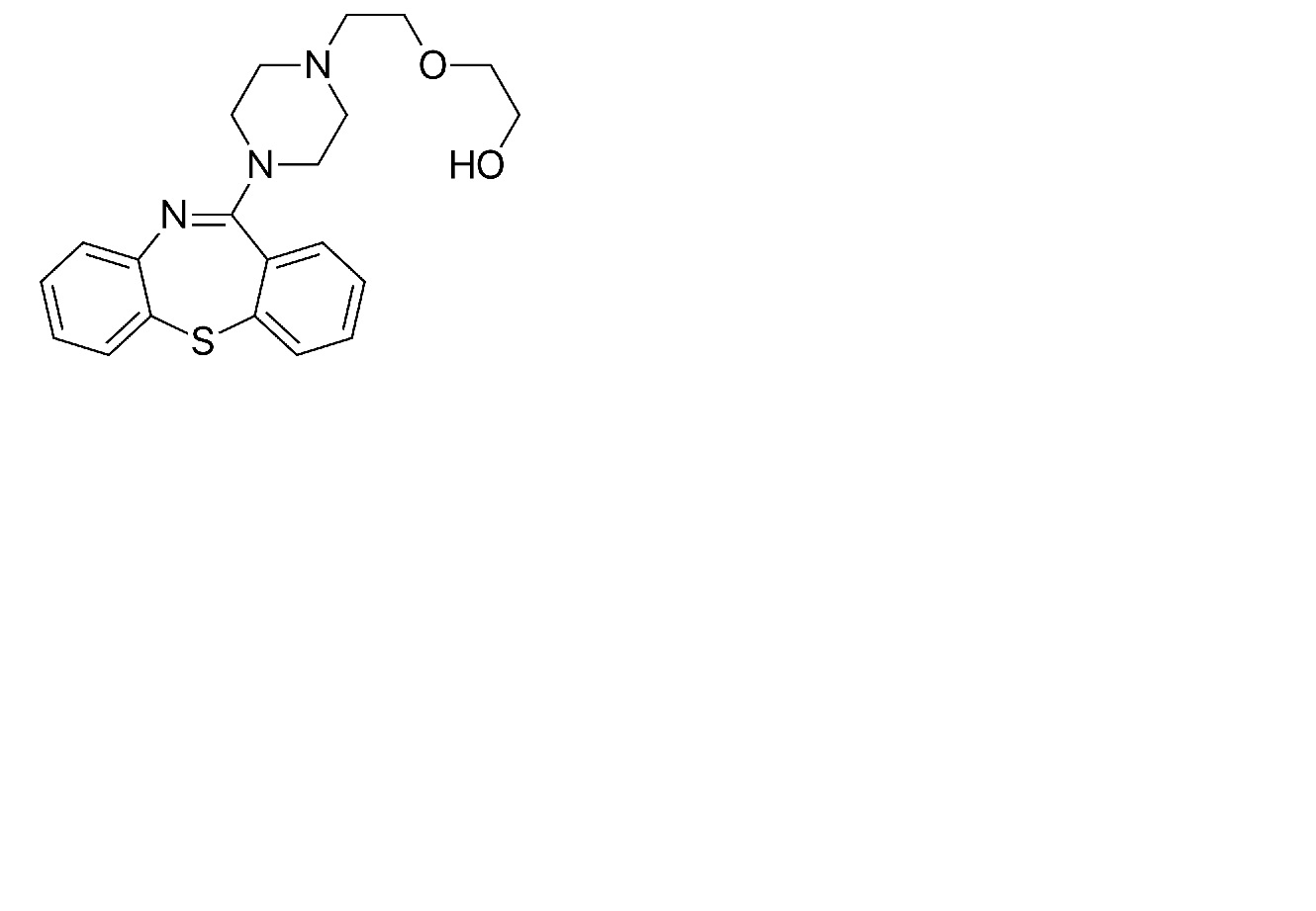
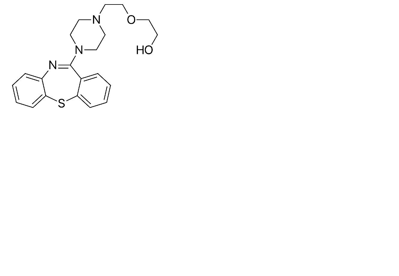
Quetiapine fumarate
Химична структура
Библиография : Quetiapine fumarate
Вид
Публикация
4609
Списание
Tran J, Gervase M.A, Evans J, Deville R, Dong X.
The stability of quetiapine oral suspension compounded from commercially available tablets.
PlosOne 2021 ; 16(8): e0255963.
Mentions Légales