Poslední aktualizace :
31/03/2026
Antiaritmikas   Propafenone Hydrochloride  
Geriamas tirpalas
Įpurškimas
Stabilumas farmacinių preparatų Mišinių stabilumas Stabilumą lemiantys veiksniai Suderinamumas Bibliografija pdf
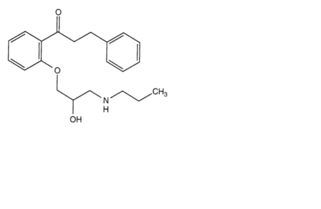
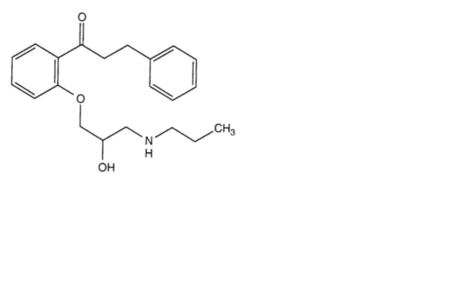
   Cheminė sandara  

Geriamas tirpalas
Stabilumas farmacinių preparatų   Geriamas tirpalas   Stabilumas farmacinių preparatų : Propafenone Hydrochloride     
Pakuotė Origine Ekscipientas Temperatūra Laikymas Stabilumo trukmė Nuorodos
Plastikinis butelis Tabletės 1000 mg
® = Abbott Laboratories
OraPlus® / OraSweet® (1:1) >> 100 mL
2-8°C Nenurodyta
90 Diena
4547

Plastikinis butelis Tabletės 1000 mg
® = Abbott Laboratories
OraPlus® / OraSweet® (1:1) >> 100 mL
22-30°C Nenurodyta
90 Diena
4547


  Mentions Légales