最新更新 :
31/03/2026
抗不整脈薬   Propafenone Hydrochloride  
経口液
注射薬
調剤時の安定性 混合時の安定性 安定性に影響する因子 互換性 引用文献 PDF
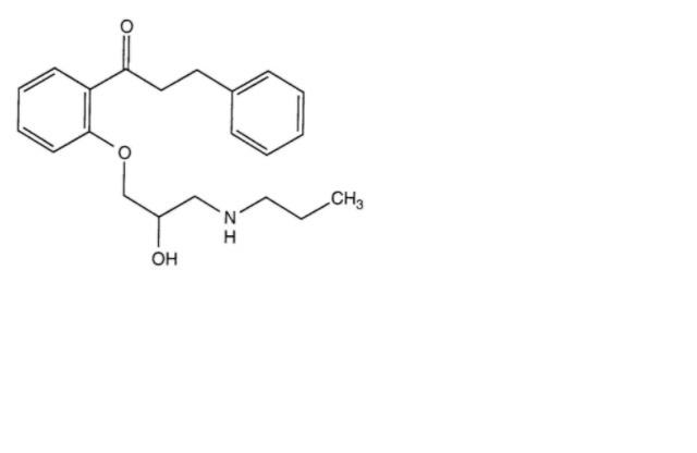
   化学構造  

経口液
調剤時の安定性   経口液   調剤時の安定性 : Propafenone Hydrochloride     
容器 Origine 添加剤 温度 保管 安定期間 引用文献
プラスチックボトル 錠剤 1000 mg
® = Abbott Laboratories
OraPlus® / OraSweet® (1:1) >> 100 mL
2-8°C 特記なし
90 日
4547

プラスチックボトル 錠剤 1000 mg
® = Abbott Laboratories
OraPlus® / OraSweet® (1:1) >> 100 mL
22-30°C 特記なし
90 日
4547


  Mentions Légales