Viimeisin päivitys :
31/03/2026
Rytmihäiriölääkkeet   Propafenone Hydrochloride  
Oraaliliuos
Injektioneste
Vakaus lääkevalmisteen Stabilius seoksissa Tekijät, jotka vaikuttavat stabiliuteen Yhteensopivuus Viitteet pdf
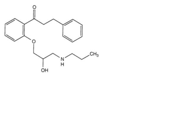
   Kemiallinen rakenne  

Oraaliliuos
Vakaus lääkevalmisteen   Oraaliliuos   Vakaus lääkevalmisteen : Propafenone Hydrochloride     
Astia Origine Apuaine Lämpötila Säilytys Vakauden kesto Viitteet
Muovipullo Tabletit 1000 mg
® = Abbott Laboratories
OraPlus® / OraSweet® (1:1) >> 100 mL
2-8°C Ei määritetty
90 Päivä
4547

Muovipullo Tabletit 1000 mg
® = Abbott Laboratories
OraPlus® / OraSweet® (1:1) >> 100 mL
22-30°C Ei määritetty
90 Päivä
4547


  Mentions Légales