Son güncelleme :
31/03/2026
Antiaritmik   Propafenone Hydrochloride  
Oral solüsyon / oral çözelti
Enjeksiyon
Farmasötik preparatlar Kararlılığı Karışımlardaki stabilitesi Stabiliteyi etkileyen faktörler Uyumluluk Kaynaklar pdf
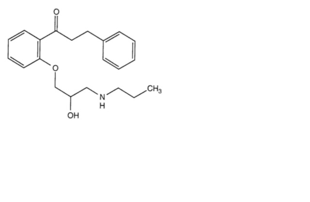
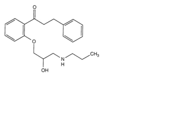
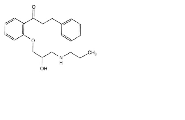
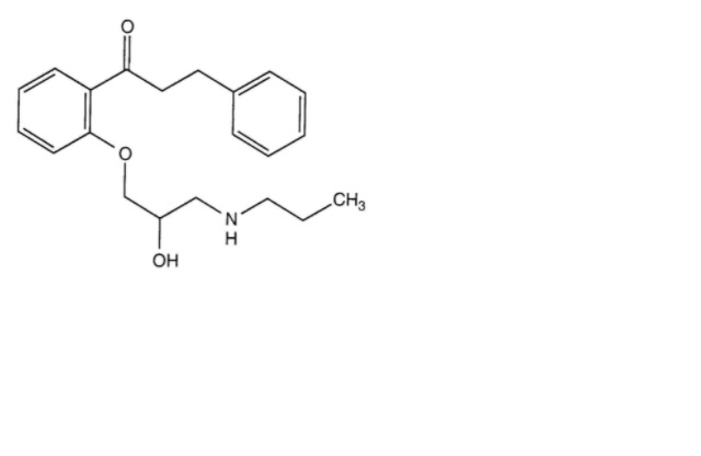
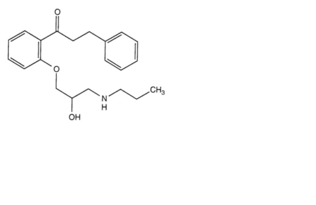
   Kimyasal yapı   

Oral solüsyon / oral çözelti
Kaynaklar   Oral solüsyon / oral çözelti   Kaynaklar : Propafenone Hydrochloride  
tip yayın
4547 Dergi Lin Y-S, Lin S-C, Hsieh Y-T,Liu L-Y,Lin C-H, Shen L-J, Huang C-F.
Formulation and stability of an extemporaneously compounded propafenone hydrochloride oral suspension for children with arrhythmia.
EJHP 2021

  Mentions Légales