fermer
最新更新 :
17/12/2025
Infostab
薬剤一覧
まとめ一覧
互換性の検索
Yサイト対応表
引用文献
研究チーム
valistab
ポスター
接続
スポンサー
作成者
ユーザーガイド
ニュースレター
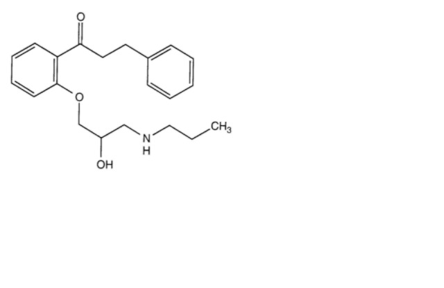
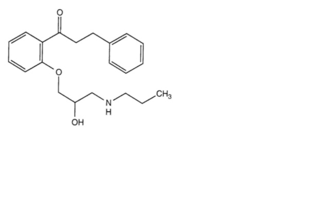
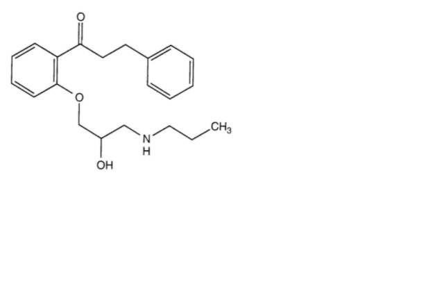
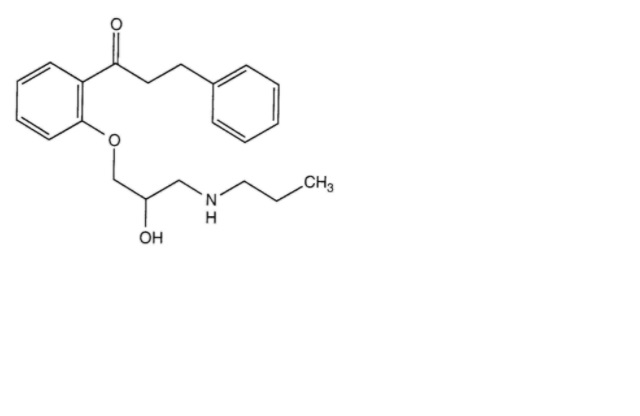
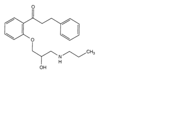
Propafenone Hydrochloride
化学構造
引用文献 : Propafenone Hydrochloride
形式
出版物
4547
雑誌
Lin Y-S, Lin S-C, Hsieh Y-T,Liu L-Y,Lin C-H, Shen L-J, Huang C-F.
Formulation and stability of an extemporaneously compounded propafenone hydrochloride oral suspension for children with arrhythmia.
EJHP 2021
Mentions Légales