Zadnji put ažurirano :
31/03/2026
antiritmičan   Propafenone Hydrochloride  
oralna otopina
injekcija
Stabilnost farmaceutskih pripravaka Stabilnost mješavine Stabilizacijski faktor Kompatibilnosti Bibliografija pdf
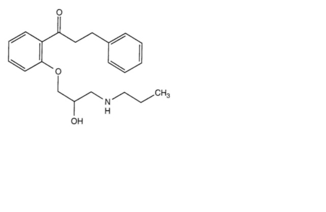
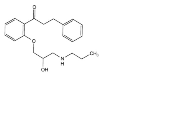
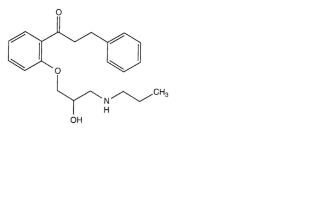
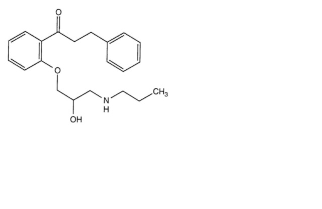
   Kemijska struktura  

oralna otopina
Bibliografija   oralna otopina     Bibliografija : Propafenone Hydrochloride  
Vrsta Publikacija
4547 Časopis Lin Y-S, Lin S-C, Hsieh Y-T,Liu L-Y,Lin C-H, Shen L-J, Huang C-F.
Formulation and stability of an extemporaneously compounded propafenone hydrochloride oral suspension for children with arrhythmia.
EJHP 2021

  Mentions Légales