Última actualización :
18/03/2026
Vasodilatador   Ambrisentan  
Solución Oral
La estabilidad de las preparaciones farmacéuticas Estabilidad en mezcla Factores que influyen sobre la estabilidad Compatibilidades Bibliografía pdf
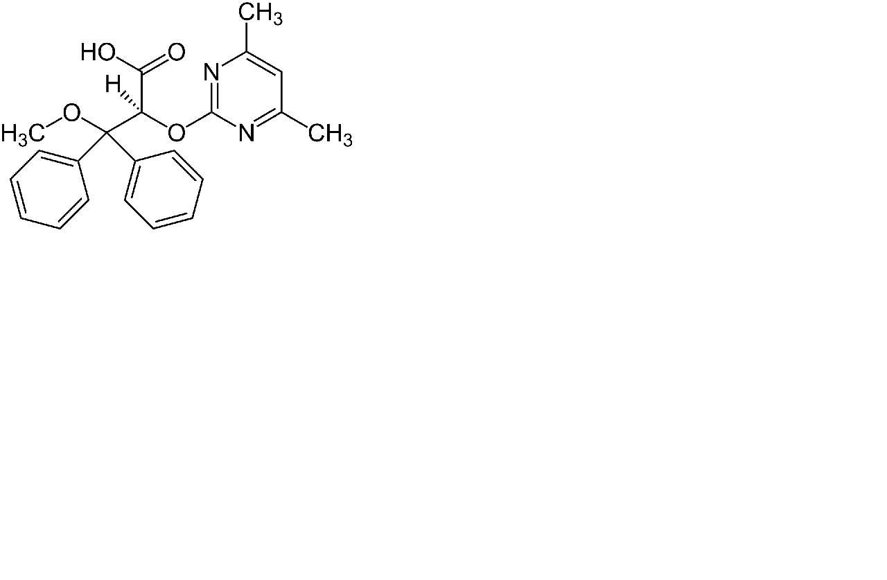
   Estructura química  

Solución Oral
Compatibilidades   Solución Oral   Compatibilidades : Ambrisentan              
Ausencia de datos

  Mentions Légales