Letztes “update” :
18/03/2026
Vasodilatator   Ambrisentan  
Lösung zum Einnehmen
Stabilität von pharmazeutischen Präparaten Gemengestabilität Stabilitätbeeinflussende Faktoren Kompatibilitäten Literaturverzeichnis pdf
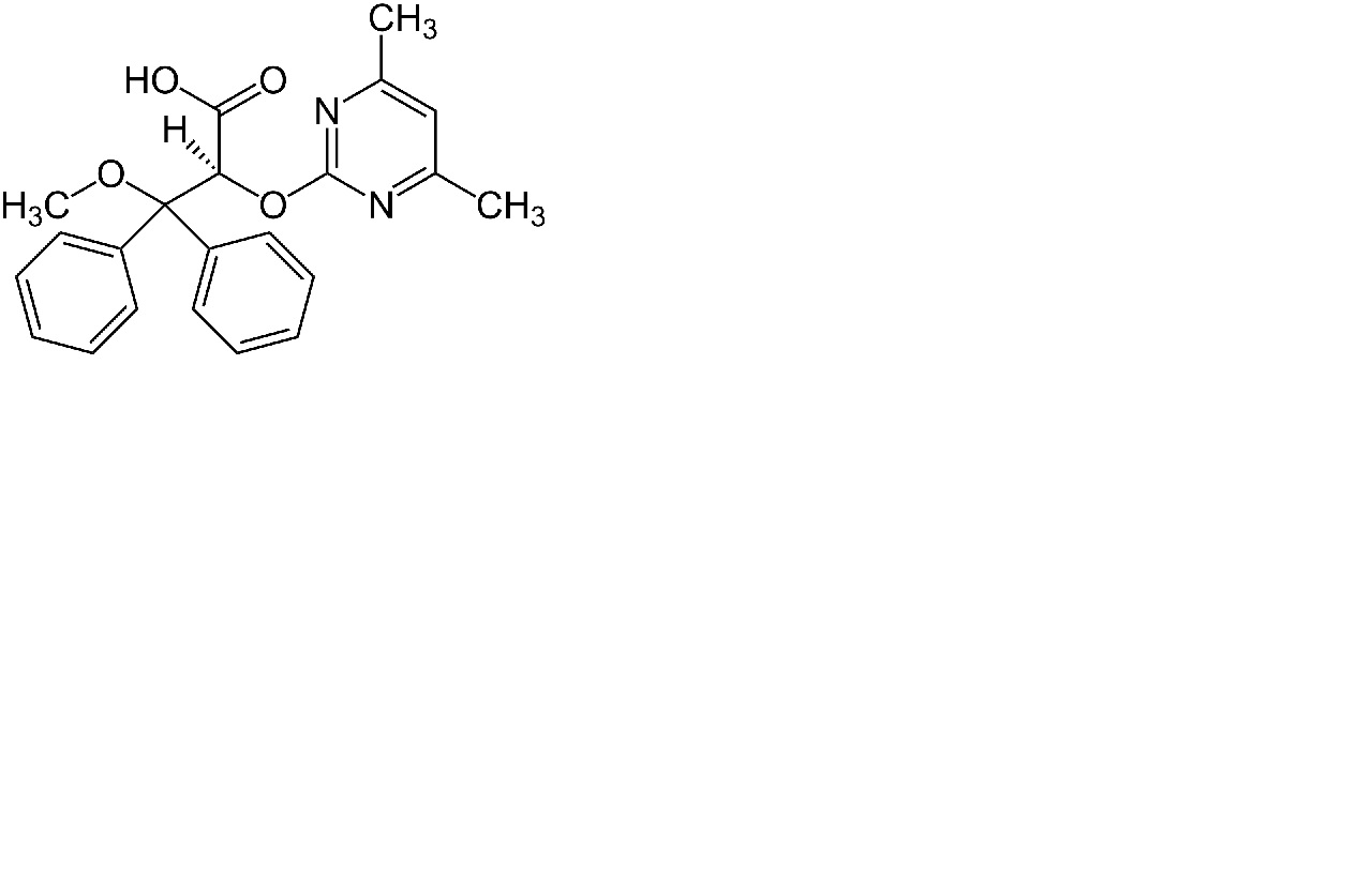
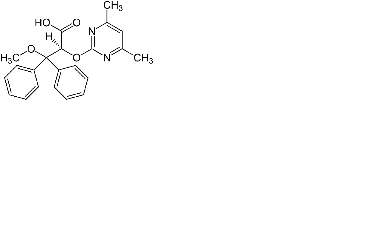
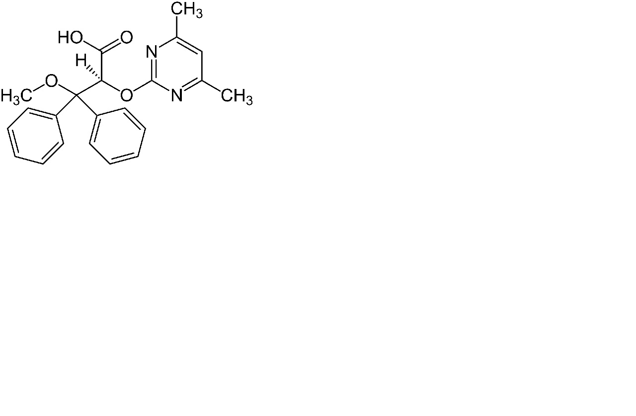
   Chemische Struktur  

Lösung zum Einnehmen
Kompatibilitäten   Lösung zum Einnehmen   Kompatibilitäten : Ambrisentan              
Keine Daten

  Mentions Légales