Ultimo aggiornamento :
18/03/2026
Vasodilatatore   Ambrisentan  
Soluzione orale
Stabilità dei preparati farmaceutici Stabilità in miscela Fattori che influenzano la stabilità Compatibilità Bibliografia pdf
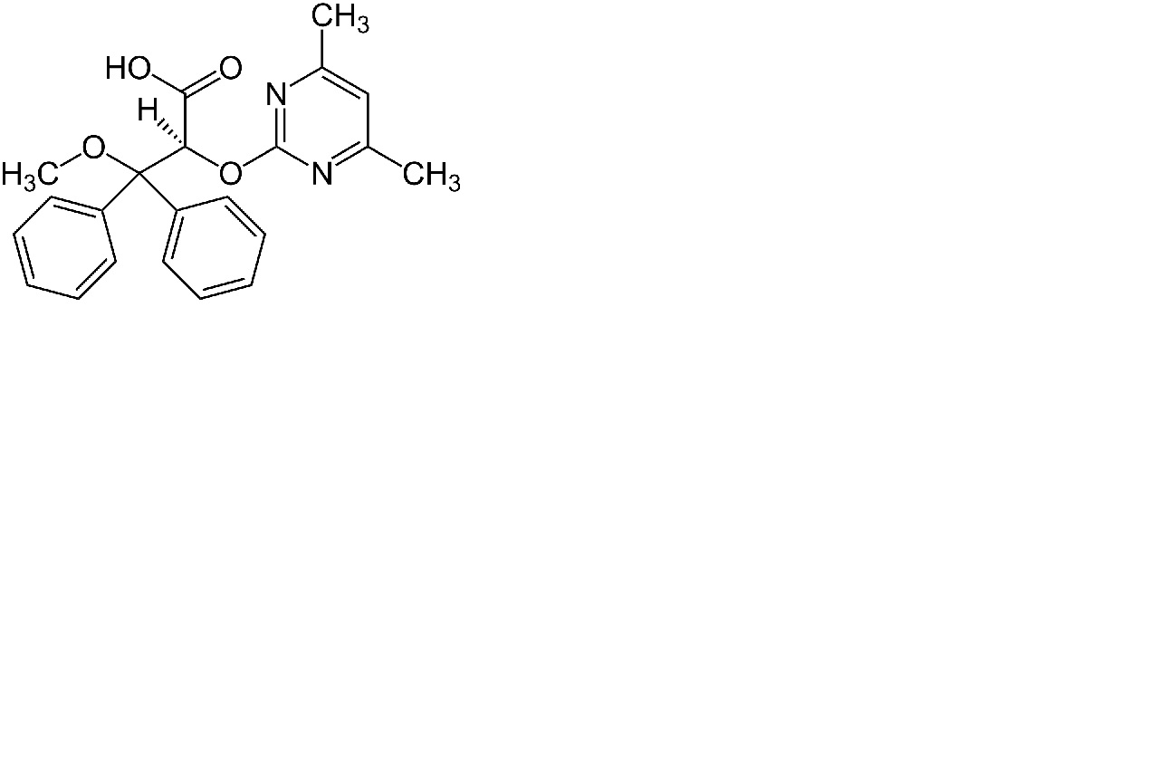
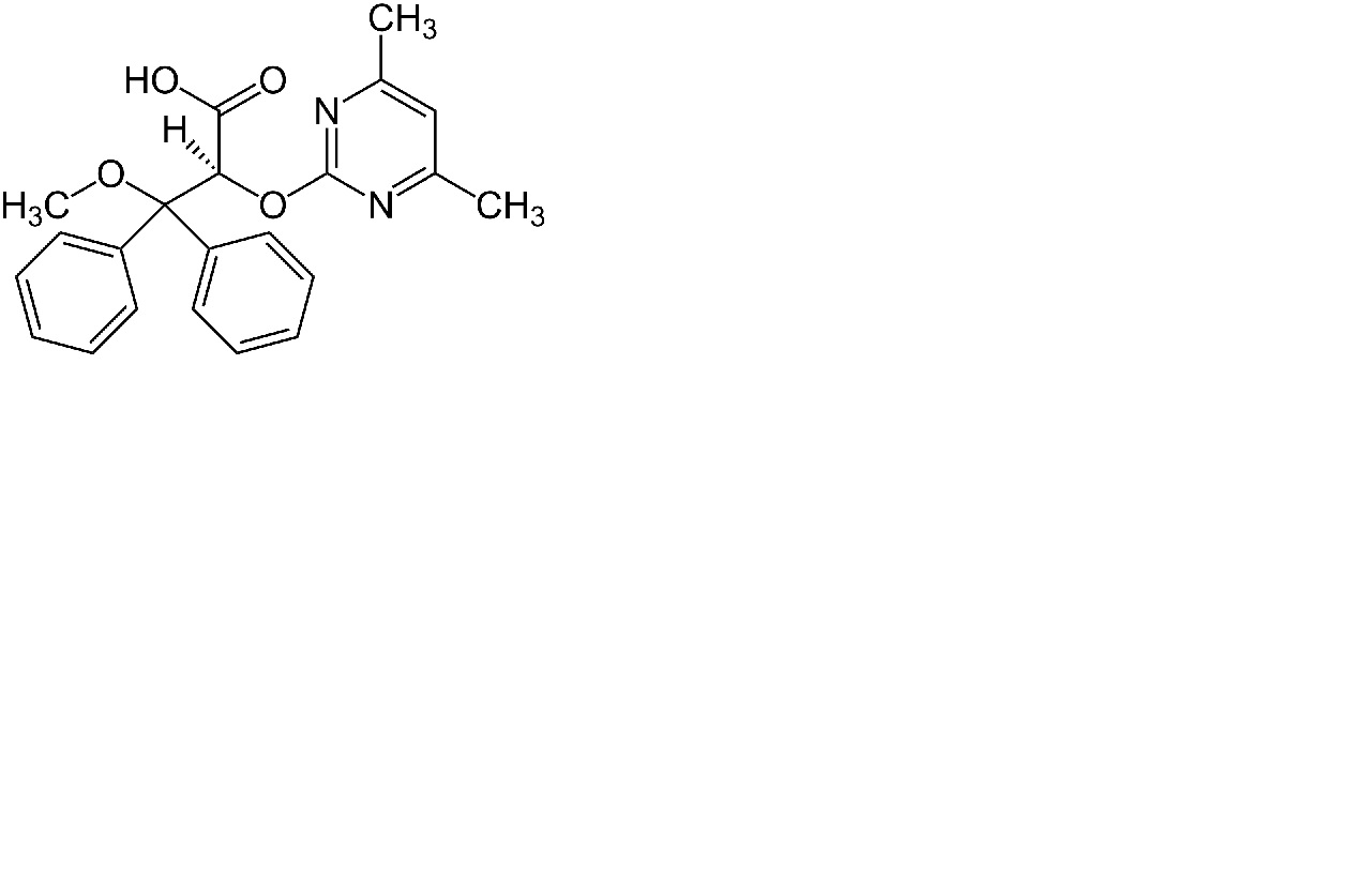
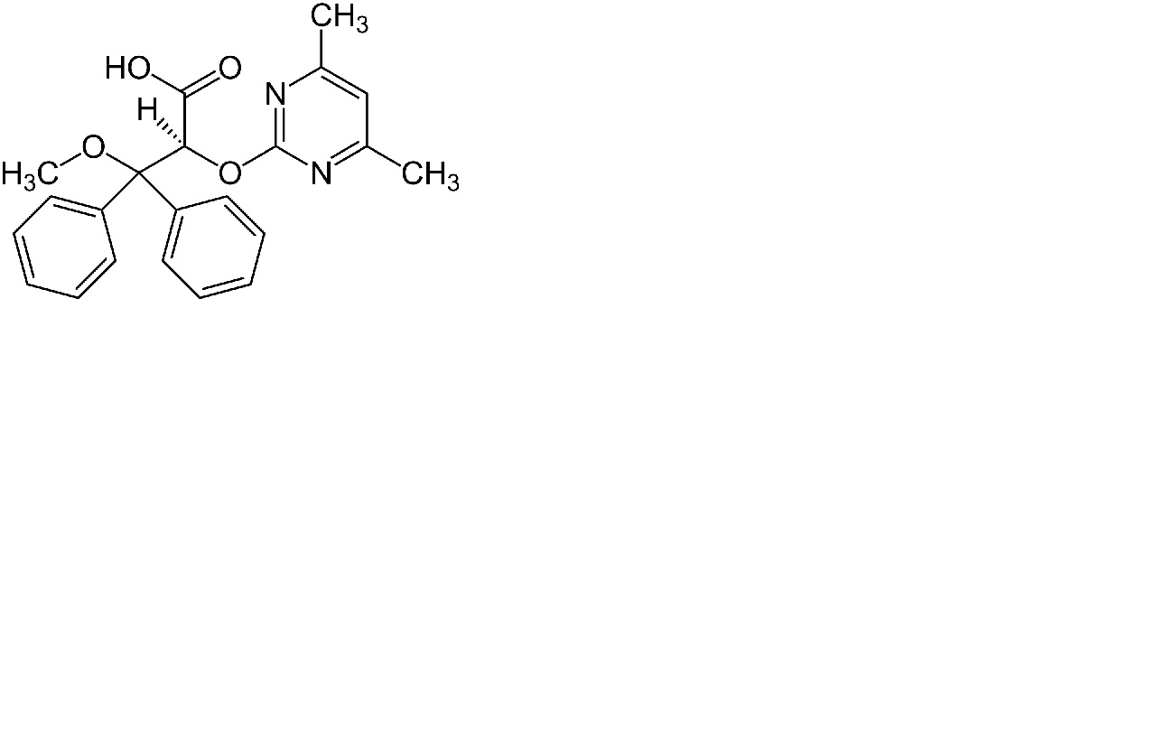
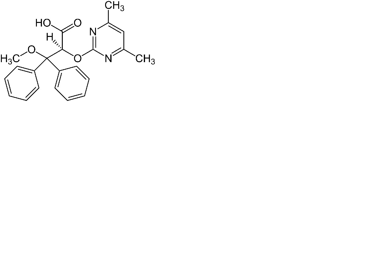
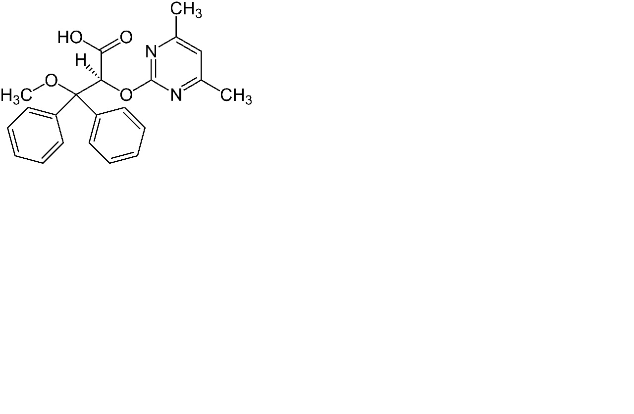
   Struttura chimica  

Soluzione orale
Compatibilità   Soluzione orale   Compatibilità : Ambrisentan              
Assenza di dati

  Mentions Légales