Последнее обновление :
18/03/2026
Сосудорасширяющее средство   Ambrisentan  
Раствор для перорального приёма
Стабильность фармацевтических препаратов Стабильность смесей Факторы, которые влияют на стабильность Совместимость Библиография pdf
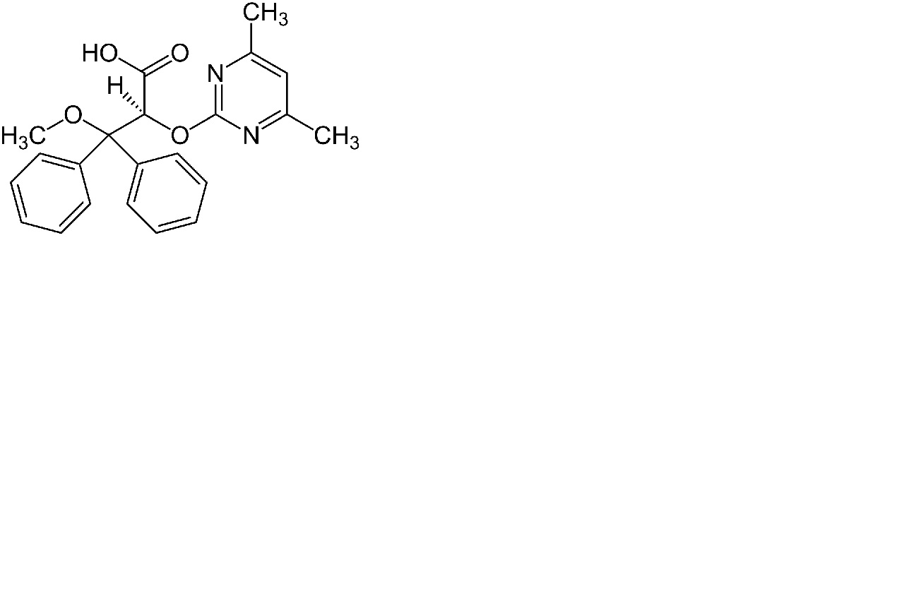
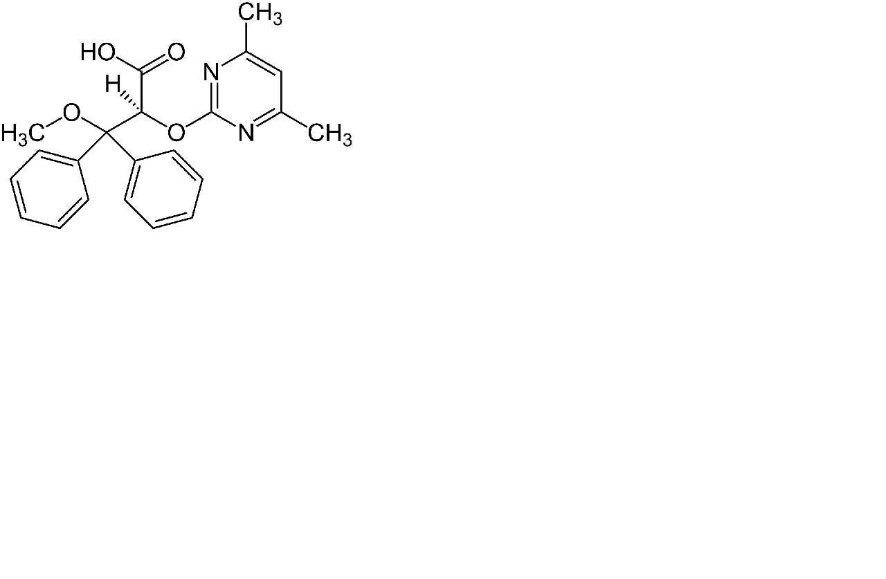
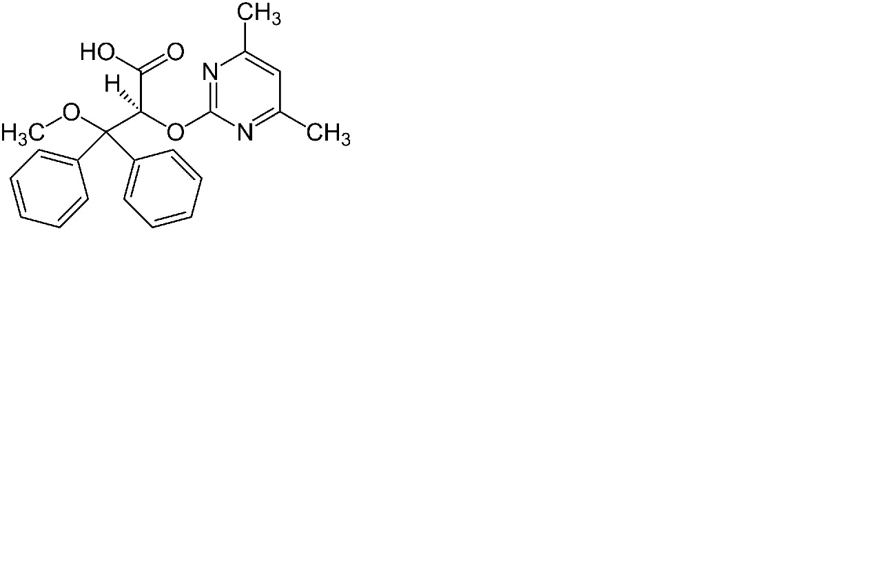
   Химическая структура  

Раствор для перорального приёма
Совместимость   Раствор для перорального приёма   Совместимость : Ambrisentan              
данных нет

  Mentions Légales