Poslední aktualizace :
18/03/2026
Vasodilatans   Ambrisentan  
Perorální roztok
Stabilita farmaceutických přípravků Stabilita směsí Faktory ovlivňující stabilitu Kompatibilita Odkazy pdf
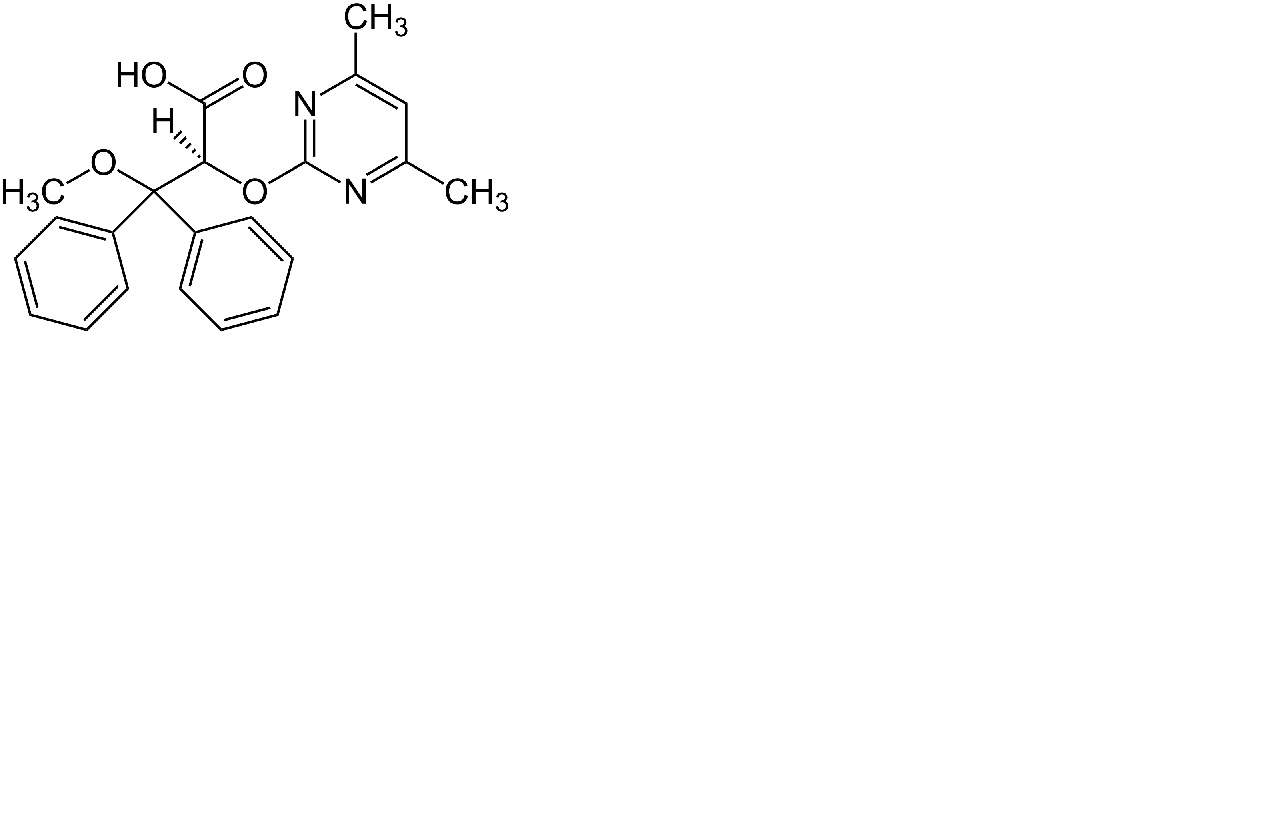
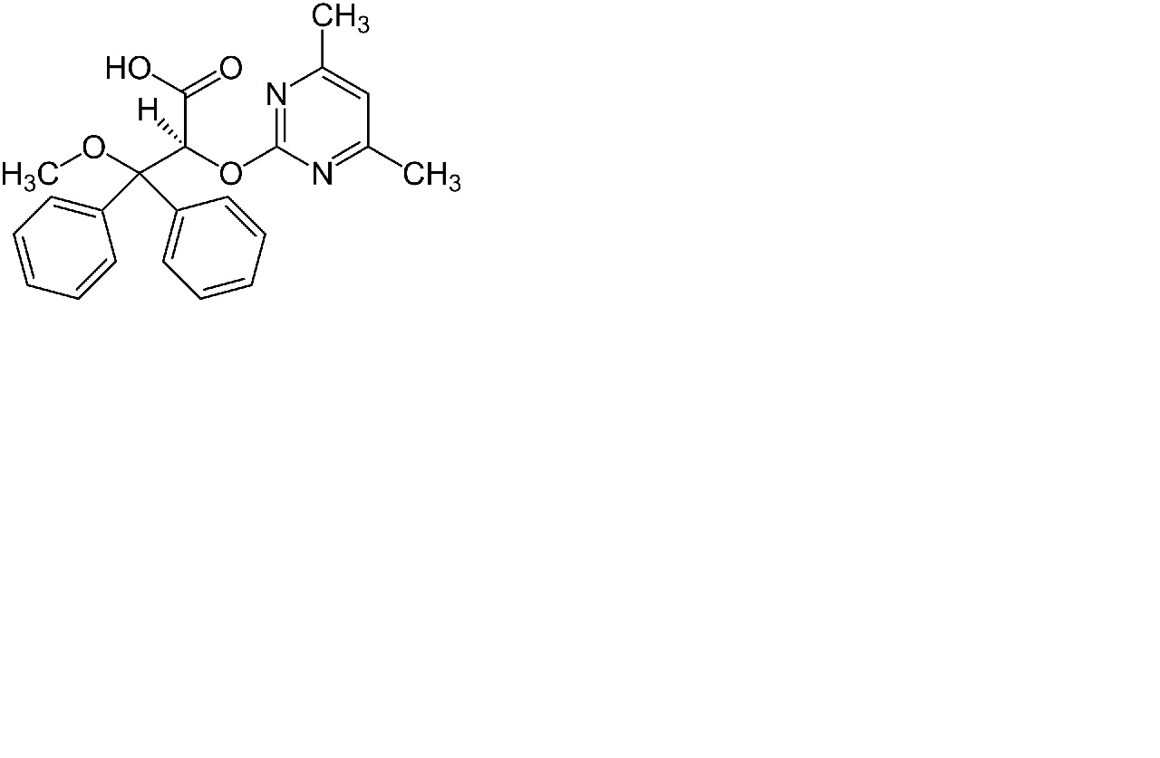
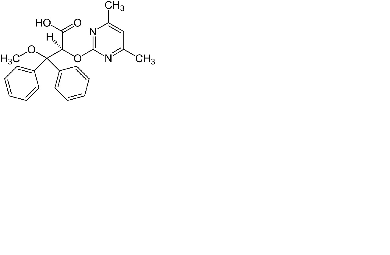
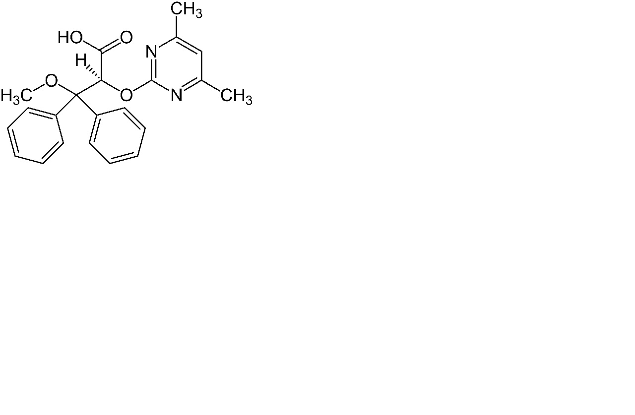
   Chemický vzorec  

Perorální roztok
Kompatibilita   Perorální roztok   Kompatibilita : Ambrisentan              
žádná data

  Mentions Légales