zadnja posodobitev :
31/03/2026
Vazodilatator   Minoxidil  
Peroralna raztopina
Mazila
Stabilnost farmacevtskih preparatov Stabilnost mešanice Faktorji, ki vplivajo na stabilnost Kompatibilnost Viri pdf
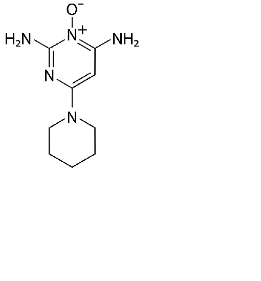
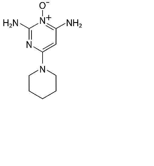
   Kemična formula  

Peroralna raztopina
Stabilnost farmacevtskih preparatov   Peroralna raztopina   Stabilnost farmacevtskih preparatov : Minoxidil     
Vsebnik Origine Ekscipient Temperatura Shranjevanje Trajanje stabilnosti Viri
Steklo Tablete 300 mg
Loniten®
OraPlus® / OraSweet SF® (1:1) >> 300 mL
2-6°C Zaščiteno pred svetlobo
168 Dan
4075

Steklo Tablete 300 mg
Loniten®
OraPlus® / OraSweet SF® (1:1) >> 300 mL
23-25°C Zaščiteno pred svetlobo
21 Dan
4075


  Mentions Légales