viimane versioon :
31/03/2026
vasodilataator   Minoxidil  
suukaudne lahus
salv
Stabiilsust ravimpreparaadid Stabiilsust mõjutavad tegurid stabiilsust mõjutavad faktorid Sobimatus Viited pdf
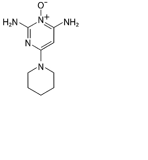
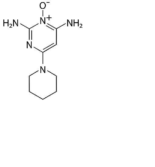
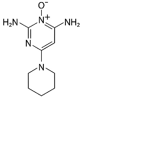
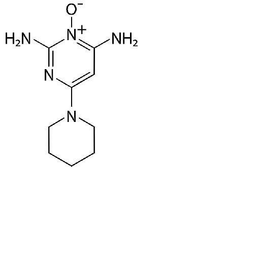
   keemiline struktuur  

suukaudne lahus
Stabiilsust ravimpreparaadid   suukaudne lahus   Stabiilsust ravimpreparaadid : Minoxidil     
konteiner Origine  abiaine temperatuur ladustamine Stabiilsuse kestus Viited
klaas tabletid 300 mg
Loniten®
OraPlus® / OraSweet SF® (1:1) >> 300 mL
2-6°C kaitsta valguse eest
168 päev
4075

klaas tabletid 300 mg
Loniten®
OraPlus® / OraSweet SF® (1:1) >> 300 mL
23-25°C kaitsta valguse eest
21 päev
4075


  Mentions Légales