Poslední aktualizace :
31/03/2026
Kraujagysles plečiantis vaistas   Minoxidil  
Geriamas tirpalas
Tepalai
Stabilumas farmacinių preparatų Mišinių stabilumas Stabilumą lemiantys veiksniai Suderinamumas Bibliografija pdf
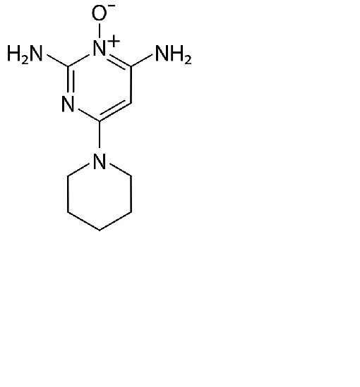
   Cheminė sandara  

Geriamas tirpalas
Stabilumas farmacinių preparatų   Geriamas tirpalas   Stabilumas farmacinių preparatų : Minoxidil     
Pakuotė Origine Ekscipientas Temperatūra Laikymas Stabilumo trukmė Nuorodos
Stiklas Tabletės 300 mg
Loniten®
OraPlus® / OraSweet SF® (1:1) >> 300 mL
2-6°C Apsaugotas nuo šviesos
168 Diena
4075

Stiklas Tabletės 300 mg
Loniten®
OraPlus® / OraSweet SF® (1:1) >> 300 mL
23-25°C Apsaugotas nuo šviesos
21 Diena
4075


  Mentions Légales