Última actualização :
31/03/2026
Vasodilatador   Minoxidil  
Solução Oral
Pomadas
Estabilidade de preparações farmacêuticas Estabilidade em misturas Factores que afectam a sua estabilidade Compatibilidade Bibliografía pdf
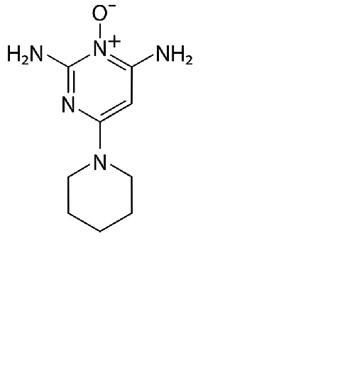
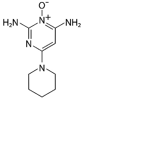
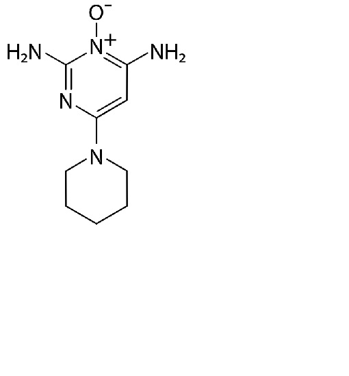
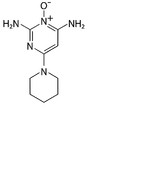
   estrutura química  

Solução Oral
Estabilidade de preparações farmacêuticas   Solução Oral   Estabilidade de preparações farmacêuticas : Minoxidil     
Embalagem Origine excipiente temperatura conservação Duração da estabilidade Bibliografia
vidro comprimidos 300 mg
Loniten®
OraPlus® / OraSweet SF® (1:1) >> 300 mL
2-6°C ao abrigo da luz
168 dia
4075

vidro comprimidos 300 mg
Loniten®
OraPlus® / OraSweet SF® (1:1) >> 300 mL
23-25°C ao abrigo da luz
21 dia
4075


  Mentions Légales