Poslední aktualizace :
31/03/2026
Vasodilatans   Minoxidil  
Perorální roztok
Masti
Stabilita farmaceutických přípravků Stabilita směsí Faktory ovlivňující stabilitu Kompatibilita Odkazy pdf
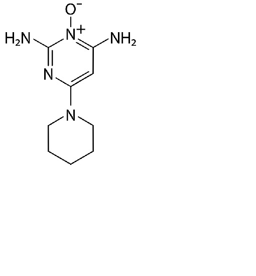
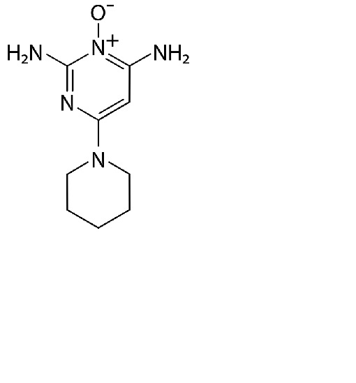
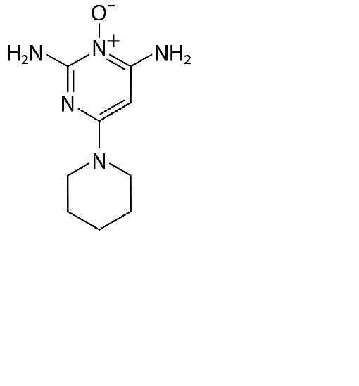
   Chemický vzorec  

Perorální roztok
Stabilita farmaceutických přípravků   Perorální roztok   Stabilita farmaceutických přípravků : Minoxidil     
Obal Origine Pomocné látky Teplota Uchovávání Trvání stability Odkazy
Sklo tablety 300 mg
Loniten®
OraPlus® / OraSweet SF® (1:1) >> 300 mL
2-6°C Chráněno před světlem
168 Den
4075

Sklo tablety 300 mg
Loniten®
OraPlus® / OraSweet SF® (1:1) >> 300 mL
23-25°C Chráněno před světlem
21 Den
4075


  Mentions Légales